Последно актуализиране :
27/01/2026
противораково лекарство   Etoposide phosphate  
Инжекция/Инжекционен
Стабилност на разтвори Стабилност на смеси Фактори, повлияващи стабилността Съвместимост Път на въвеждане Библиография Pdf
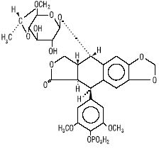
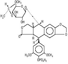
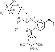
   Химична структура  

Търговско наименование   Търговско наименование     

Търговските имена са примерни и съставът на помощните вещества може да бъде различен в зависимост от държавата и лабораториите

Etopofos Австрия, Гърция, Швеция
Etopophos Белгия, България, Великобритания, Германия, Израел, Люксенбург, нова Зеландия, Полша, Съединени Американски щати / САЩ, Франция, Холандия, Швейцария

Фактори, повлияващи стабилността   Инжекция/Инжекционен   Фактори, повлияващи стабилността : Etoposide phosphate        
Няма данни

  Mentions Légales