Ultimo aggiornamento :
27/01/2026
farmaco contro il cancro   Etoposide phosphate  
Iniezione
Stabilità in soluzione Stabilità in miscela Fattori che influenzano la stabilità Compatibilità metodo di iniezione Bibliografia pdf
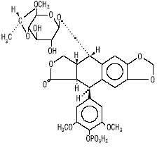
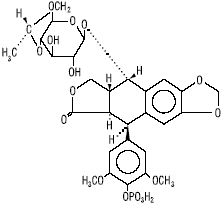
   Struttura chimica  

Nome commerciale   Nome commerciale     

Trade names are indicative and excipients composition can be different depending on the country and manufacturers

Etopofos Austria, Grecia, Svezia
Etopophos Belgio, Bulgaria, Francia, Germania, Gran Bretagna, Israele, Lussemburgo, nuova Zelanda, Paesi Bassi, Polonia, Stati Uniti d’America, Svizzera

Fattori che influenzano la stabilità   Iniezione   Fattori che influenzano la stabilità : Etoposide phosphate        
Assenza di dati

  Mentions Légales