Ultimele actualizari :
27/01/2026
Citostatic   Etoposide phosphate  
Injectabil
Stabilitatea in solutie Stabilitatea in amestec Factorii care influenteaza stabilitatea Compatibilitate Microunde Bibliografie pdf
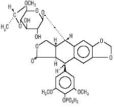
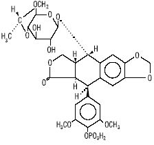
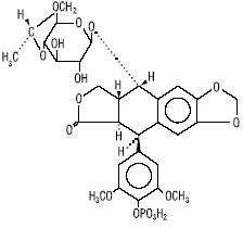
   Formula chimica  

Denumirea comerciala   Denumirea comerciala     

Trade names are indicative and excipients composition can be different depending on the country and manufacturers

Etopofos Austria, Grecia, Suedia
Etopophos Belgia, Bulgaria, Elvetia, Franta, Germania, Israel, Luxemburg, Marea Britanie, noua Zeelandă, Olanda, Polonia, SUA

Factorii care influenteaza stabilitatea   Injectabil   Factorii care influenteaza stabilitatea : Etoposide phosphate        
Absenta de date

  Mentions Légales