zadnja posodobitev :
27/01/2026
rak drog   Etoposide phosphate  
Brizgalka
Stabilnost raztopine Stabilnost mešanice Faktorji, ki vplivajo na stabilnost Kompatibilnost način aplikacije Viri pdf
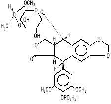
   Kemična formula  

Lastniško ime   Lastniško ime     

Sestava pomožnih snovi je med paralelami lahko različna

Etopofos Avstrija, Grčija, Švedska
Etopophos Belgija, Bolgarija, Francija, Izrael, Luksemburg, Nemčija, Nizozemska, nova Zelandija, Poljska, Švica, Velika Britanija, Združene države Amerike

Faktorji, ki vplivajo na stabilnost   Brizgalka   Faktorji, ki vplivajo na stabilnost : Etoposide phosphate        
ni podatka

  Mentions Légales