Poslední aktualizace :
27/01/2026
vėžio narkotikų   Etoposide phosphate  
Įpurškimas
Tirpalų stabilumas Mišinių stabilumas Stabilumą lemiantys veiksniai Suderinamumas Leidimo būdai Bibliografija pdf
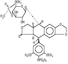
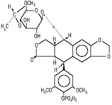
   Cheminė sandara  

Prekinis pavadinimas   Prekinis pavadinimas     

Trade names are indicative and excipients composition can be different depending on the country and manufacturers

Etopofos Austrija, Graikija, Švedija
Etopophos Belgija, Bulgarija, Didžioji Britanija, Israël, Jungtinės Amerikos Valstijos, Lenkija, Liuksemburgas, Naujojoje Zelandijoje, Olandija, Prancūzija, Šveicarija, Vokietija

Stabilumą lemiantys veiksniai   Įpurškimas   Stabilumą lemiantys veiksniai : Etoposide phosphate        
Nėra duomenų

  Mentions Légales