Letztes “update” :
27/01/2026
Antikrebsmittel   Etoposide phosphate  
Injektion
Stabilität der Lösung Gemengestabilität Stabilitätbeeinflussende Faktoren Kompatibilitäten Applikationsart Literaturverzeichnis pdf
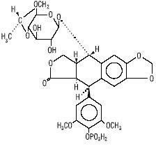
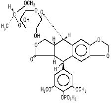
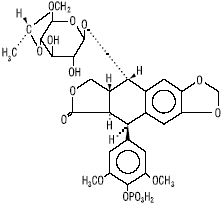
   Chemische Struktur  

Handelsmarke   Handelsmarke     

Handelsnamen sind als beispielhaft anzusehen. Sonstige Bestandteile können je nach Hersteller oder Land verschieden sein

Etopofos Griechenland, Österreich, Schweden
Etopophos Belgien, Bulgarien, Deutschland, Frankreich, Großbritannien, Israel, Luxemburg, Neuseeland, Niederlande, Polen, Schweiz, Vereinigte Staaten von Amerika

Stabilitätbeeinflussende Faktoren   Injektion   Stabilitätbeeinflussende Faktoren : Etoposide phosphate        
Keine Daten

  Mentions Légales