Posledná aktualizácia :
27/01/2026
Protinádorová liečba   Etoposide phosphate  
Injekcia
Stabilita roztokov Stabilita v zmesiach Faktory ovplyvňujúce stabilitu Kompatibility spôsob podania Odkazy na literatúru PDF
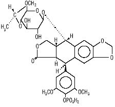
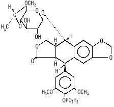
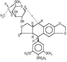
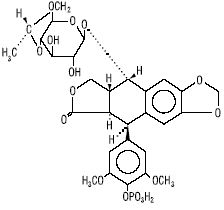
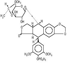
   Chemický vzorec  

Obchodný názov   Obchodný názov     

Obchodné názvy sú orientačné, a zloženie pomocných látok sa môže líšiť v závislosti od krajiny a výrobcu.

Etopofos Grécko, Rakúsko, Švédsko
Etopophos Belgicko, Bulharsko, Francúzsko, Holandsko, Izrael, Luxembursko, Nemecko, nový Zéland, Poľsko, Spojené štáty Americké, Švajčiarsko, Veľká Británia

Faktory ovplyvňujúce stabilitu   Injekcia   Faktory ovplyvňujúce stabilitu : Etoposide phosphate        
žiadne údaje

  Mentions Légales