Cập nhật lần cuối :
27/04/2026
Kháng sinh   Tobramycin sulfate  
Dạng tiêm
Dung dịch uống Khí dung Thuốc nhỏ mắt
Tính ổn định của các dung dịch Độ ổn định khi trộn lẫn Những yếu tố ảnh hưởng đến độ ổn định Khả năng tương thích Đường dùng Tài liệu tham khảo Pdf
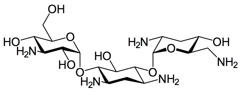
   Cấu trúc hóa học  

Tên thương mại   Tên thương mại     

Các tên thương mại được cung cấp và thành phần tá dược có thể khác nhau giữa các quốc gia và các hãng dược

Bactob Ấn Độ
Beltob Ấn Độ
Bramicil Ý
Brulamycin Hungary, Malaysia, Slovenia
Eltol Ấn Độ
Fytobra Ấn Độ
Gernebcin Đức
Komitob Ấn Độ
Nebcin Ả Rập, Ả Rập Saudi, Anh, Hy Lạp, new zealand, United Arab Emirates
Nebcina Morocco, Na Uy, Thụy Điển, Đan Mạch
Nebcine Morocco, Pháp, Slovenia
Nebicina Ý
Obracin Bỉ, Hà Lan, Luxembourg, Thụy Sỹ
Tobracin Ả Rập, Ả Rập Saudi, Brazil
Tobramicina Argentina, Bồ Đào Nha, Brazil, Chile, Colombia, Ecuador, Tây Ban Nha, Ý
Tobramina Brazil
Tobramycin Ả Rập Saudi, Anh, Canada, Hoa Kỳ, Ireland, Na Uy, Úc, Đức
Tobramycine Hà Lan, Ireland, Pháp
Tobrasix Áo
Tobrazid Đức
Tính ổn định của các dung dịch   Dạng tiêm   Tính ổn định của các dung dịch : Tobramycin sulfate     
Bao bì Dung môi Nồng độ Nhiệt độ Bảo quản Thời gian ổn định Mục lục
Nhựa polyvinyl chloride NaCl 0,9% 1 & 10 mg/ml 25°C Không rõ
3 Ngày
13
Cấp độ bằng chứng B

Nhựa polyvinyl chloride NaCl 0,9% 1 & 10 mg/ml 5°C Tránh ánh sáng
14 Ngày
13
Cấp độ bằng chứng B

Nhựa polyvinyl chloride NaCl 0,9% 1,2 mg/ml -20°C Tránh ánh sáng
28 Ngày
565
Cấp độ bằng chứng D

Nhựa polyvinyl chloride NaCl 0,9% 1,2 mg/ml 25°C Ánh sáng
48 Giờ
434

Nhựa polyvinyl chloride NaCl 0,9% 1,2 mg/ml 4°C Tránh ánh sáng
48 Giờ
434

Nhựa polyvinyl chloride Glucose 5% 1,2 mg/ml -20°C Tránh ánh sáng
28 Ngày
565
Cấp độ bằng chứng D

Nhựa polyvinyl chloride Glucose 5% 1,2 mg/ml 25°C Ánh sáng
48 Giờ
434

Nhựa polyvinyl chloride Glucose 5% 1,2 mg/ml 4°C Tránh ánh sáng
48 Giờ
434

Nhựa polyvinyl chloride Glucose 5% 3,2 mg/ml -20°C Tránh ánh sáng
30 Ngày
575
Phương pháp sinh học

Nhựa ethylene vinyl acetat NaCl 0,9% 0,95 mg/ml 23°C Tránh ánh sáng
7 Ngày
1704
Cấp độ bằng chứng A+

Nhựa ethylene vinyl acetat NaCl 0,9% 0,95 mg/ml 4°C Tránh ánh sáng
30 Ngày
1704
Cấp độ bằng chứng A+

ống tiêm polypropylene Nước cất pha tiêm 40 mg/ml 25°C Không rõ
60 Ngày
709
Phương pháp sinh học

ống tiêm polypropylene Nước cất pha tiêm 40 mg/ml 4°C Tránh ánh sáng
60 Ngày
709
Phương pháp sinh học

ống tiêm polypropylene NaCl 0,9% 30 mg/ml 22°C-23°C Ánh sáng
48 Giờ
639
Cấp độ bằng chứng D

Chất đàn hồi polyisoprene NaCl 0,9% 0,5 & 5 mg/ml 25°C Không rõ
24 Giờ
604
Các dữ liệu về độ ổn định của nhà sản xuất

Chất đàn hồi polyisoprene NaCl 0,9% 0,5 & 5 mg/ml 4°C Tránh ánh sáng
10 Ngày
604
Các dữ liệu về độ ổn định của nhà sản xuất

Chất đàn hồi polyisoprene Glucose 5% 0,5 & 5 mg/ml 25°C Không rõ
24 Giờ
604
Các dữ liệu về độ ổn định của nhà sản xuất

Chất đàn hồi polyisoprene Glucose 5% 0,5 & 5 mg/ml 4°C Tránh ánh sáng
10 Ngày
604
Các dữ liệu về độ ổn định của nhà sản xuất


  Mentions Légales