Poslední aktualizace :
27/04/2026
Antibiotikum   Tobramycin sulfate  
injekce
Aerosol Humbuk Perorální roztok
Stabilita roztoků Stabilita směsí Faktory ovlivňující stabilitu Kompatibilita Způsoby aplikace Odkazy pdf
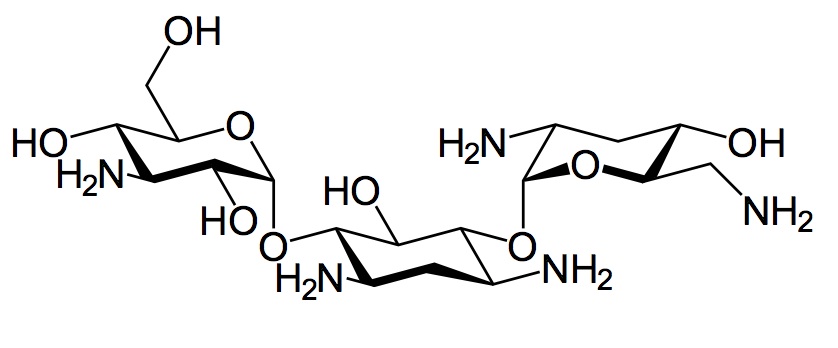
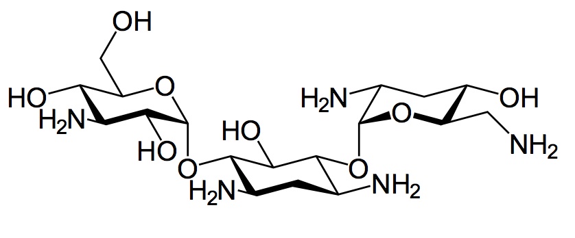
   Chemický vzorec  

Obchodní název   Obchodní název     

Trade names are indicative and excipients composition can be different depending on the country and manufacturers

Bactob Indie
Beltob Indie
Bramicil Itálie
Brulamycin Malajsie, MaÔarsko, Slovinsko
Eltol Indie
Fytobra Indie
Gernebcin NÏmecko
Komitob Indie
Nebcin Egypt, nový Zéland, Saúdská Arábie, Spojené arabské emiráty, Velká Británie, ÿecko
Nebcina Dánsko, Maroko, Norsko, Švédsko
Nebcine Francie, Maroko, Slovinsko
Nebicina Itálie
Obracin Belgie, Lucembursko, Nizozemsko, Švýcarsko
Tobracin BrazÌlie, Egypt, Saúdská Arábie
Tobramicina äpanÏlsko, Argentina, BrazÌlie, Chile, Ekvádor, Itálie, Kolumbie, Portugalsko
Tobramina BrazÌlie
Tobramycin Austrálie, Irsko, Kanada, NÏmecko, Norsko, Saúdská Arábie, USA, Velká Británie
Tobramycine Francie, Irsko, Nizozemsko
Tobrasix Rakousko
Tobrazid NÏmecko
Stabilita roztoků   injekce   Stabilita roztoků : Tobramycin sulfate     
Obal RozpouötÏdlo Koncentrace Teplota Uchovávání Trvání stability Odkazy
Polyvinyl chlorid Chlorid sodný 0,9% 1 & 10 mg/ml 25°C Nespecifikováno
3 Den
13
Úroveň zkoušky B

Polyvinyl chlorid Chlorid sodný 0,9% 1 & 10 mg/ml 5°C Chráněno před světlem
14 Den
13
Úroveň zkoušky B

Polyvinyl chlorid Chlorid sodný 0,9% 1,2 mg/ml -20°C Chráněno před světlem
28 Den
565
Úroveň zkoušky D

Polyvinyl chlorid Chlorid sodný 0,9% 1,2 mg/ml 25°C SvÏtlo
48 Hodina
434

Polyvinyl chlorid Chlorid sodný 0,9% 1,2 mg/ml 4°C Chráněno před světlem
48 Hodina
434

Polyvinyl chlorid GlukÛza 5% 1,2 mg/ml -20°C Chráněno před světlem
28 Den
565
Úroveň zkoušky D

Polyvinyl chlorid GlukÛza 5% 1,2 mg/ml 25°C SvÏtlo
48 Hodina
434

Polyvinyl chlorid GlukÛza 5% 1,2 mg/ml 4°C Chráněno před světlem
48 Hodina
434

Polyvinyl chlorid GlukÛza 5% 3,2 mg/ml -20°C Chráněno před světlem
30 Den
575
Biologická metoda

Ethylen vinyl acetát Chlorid sodný 0,9% 0,95 mg/ml 23°C Chráněno před světlem
7 Den
1704
Úroveň zkoušky A+

Ethylen vinyl acetát Chlorid sodný 0,9% 0,95 mg/ml 4°C Chráněno před světlem
30 Den
1704
Úroveň zkoušky A+

stříkačka polypropylen Voda pro injekci 40 mg/ml 25°C Nespecifikováno
60 Den
709
Biologická metoda

stříkačka polypropylen Voda pro injekci 40 mg/ml 4°C Chráněno před světlem
60 Den
709
Biologická metoda

stříkačka polypropylen Chlorid sodný 0,9% 30 mg/ml 22°C-23°C SvÏtlo
48 Hodina
639
Úroveň zkoušky D

Polyisoprenový elastomer Chlorid sodný 0,9% 0,5 & 5 mg/ml 25°C Nespecifikováno
24 Hodina
604
Údaje o stabilitě od výrobce

Polyisoprenový elastomer Chlorid sodný 0,9% 0,5 & 5 mg/ml 4°C Chráněno před světlem
10 Den
604
Údaje o stabilitě od výrobce

Polyisoprenový elastomer GlukÛza 5% 0,5 & 5 mg/ml 25°C Nespecifikováno
24 Hodina
604
Údaje o stabilitě od výrobce

Polyisoprenový elastomer GlukÛza 5% 0,5 & 5 mg/ml 4°C Chráněno před světlem
10 Den
604
Údaje o stabilitě od výrobce


  Mentions Légales