Letztes “update” :
27/04/2026
Antibiotikum   Tobramycin sulfate  
Injektion
Aerosol Augentropfen Lösung zum Einnehmen
Stabilität der Lösung Gemengestabilität Stabilitätbeeinflussende Faktoren Kompatibilitäten Applikationsart Literaturverzeichnis pdf
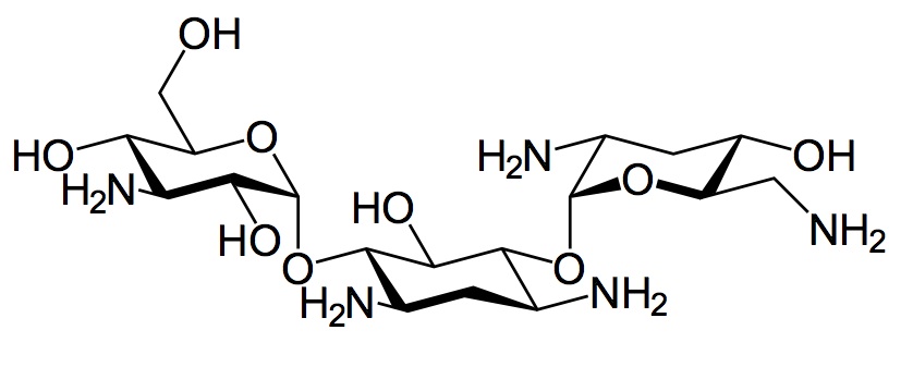
   Chemische Struktur  

Handelsmarke   Handelsmarke     

Handelsnamen sind als beispielhaft anzusehen. Sonstige Bestandteile können je nach Hersteller oder Land verschieden sein

Bactob Indien
Beltob Indien
Bramicil Italien
Brulamycin Malaysia, Slowenien, Ungarn
Eltol Indien
Fytobra Indien
Gernebcin Deutschland
Komitob Indien
Nebcin Ägypten, Griechenland, Großbritannien, Neuseeland, Saudi-Arabien, Vereinigte Arabische Emirate
Nebcina Dänemark, Marokko, Norwegen, Schweden
Nebcine Frankreich, Marokko, Slowenien
Nebicina Italien
Obracin Belgien, Luxemburg, Niederlande, Schweiz
Tobracin Ägypten, Brasilien, Saudi-Arabien
Tobramicina Argentinien, Brasilien, Chile, Ecuador, Italien, Kolumbien, Portugal, Spanien
Tobramina Brasilien
Tobramycin Australien, Deutschland, Großbritannien, Irland, Kanada, Norwegen, Saudi-Arabien, Vereinigte Staaten von Amerika
Tobramycine Frankreich, Irland, Niederlande
Tobrasix Österreich
Tobrazid Deutschland
Stabilität der Lösung   Injektion   Stabilität der Lösung : Tobramycin sulfate     
Behälter Lösungsmittel Konzentration Temperatur Konservierung Dauer der Stabilität Literaturverzeichnis
Polyvinylchlorid 0,9% Natriumchlorid 1 & 10 mg/ml 25°C Nicht genau angegeben
3 Tag
13
Evidenzgrad B

Polyvinylchlorid 0,9% Natriumchlorid 1 & 10 mg/ml 5°C Ohne Licht
14 Tag
13
Evidenzgrad B

Polyvinylchlorid 0,9% Natriumchlorid 1,2 mg/ml -20°C Ohne Licht
28 Tag
565
Evidenzgrad D

Polyvinylchlorid 0,9% Natriumchlorid 1,2 mg/ml 25°C Licht
48 Stunde
434

Polyvinylchlorid 0,9% Natriumchlorid 1,2 mg/ml 4°C Ohne Licht
48 Stunde
434

Polyvinylchlorid 5% Glucose 1,2 mg/ml -20°C Ohne Licht
28 Tag
565
Evidenzgrad D

Polyvinylchlorid 5% Glucose 1,2 mg/ml 25°C Licht
48 Stunde
434

Polyvinylchlorid 5% Glucose 1,2 mg/ml 4°C Ohne Licht
48 Stunde
434

Polyvinylchlorid 5% Glucose 3,2 mg/ml -20°C Ohne Licht
30 Tag
575
Biologische Analysen

Äthylenvinylacetat 0,9% Natriumchlorid 0,95 mg/ml 23°C Ohne Licht
7 Tag
1704
Evidenzgrad A+

Äthylenvinylacetat 0,9% Natriumchlorid 0,95 mg/ml 4°C Ohne Licht
30 Tag
1704
Evidenzgrad A+

 Spritze Polypropylen Wasser für injektable präparate 40 mg/ml 25°C Nicht genau angegeben
60 Tag
709
Biologische Analysen

 Spritze Polypropylen Wasser für injektable präparate 40 mg/ml 4°C Ohne Licht
60 Tag
709
Biologische Analysen

 Spritze Polypropylen 0,9% Natriumchlorid 30 mg/ml 22°C-23°C Licht
48 Stunde
639
Evidenzgrad D

Polyisoprenelastomer 0,9% Natriumchlorid 0,5 & 5 mg/ml 25°C Nicht genau angegeben
24 Stunde
604
Stabilitätsdaten des Herstellers

Polyisoprenelastomer 0,9% Natriumchlorid 0,5 & 5 mg/ml 4°C Ohne Licht
10 Tag
604
Stabilitätsdaten des Herstellers

Polyisoprenelastomer 5% Glucose 0,5 & 5 mg/ml 25°C Nicht genau angegeben
24 Stunde
604
Stabilitätsdaten des Herstellers

Polyisoprenelastomer 5% Glucose 0,5 & 5 mg/ml 4°C Ohne Licht
10 Tag
604
Stabilitätsdaten des Herstellers


  Mentions Légales