Posledná aktualizácia :
27/04/2026
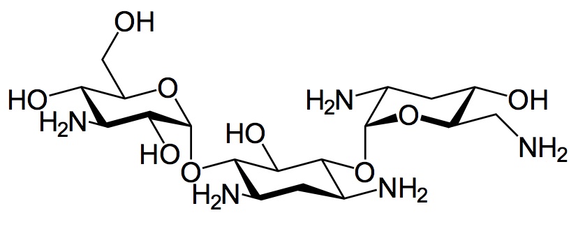
antibiotikum   Tobramycin sulfate  
Injekcia
Aerosól Očná instilácia Perorálny roztok
Stabilita roztokov Stabilita v zmesiach Faktory ovplyvňujúce stabilitu Kompatibility spôsob podania Odkazy na literatúru PDF
   Chemický vzorec  

Obchodný názov   Obchodný názov     

Obchodné názvy sú orientačné, a zloženie pomocných látok sa môže líšiť v závislosti od krajiny a výrobcu.

Bactob India
Beltob India
Bramicil Taliansko
Brulamycin Maďarsko, Malajzia, Slovinsko
Eltol India
Fytobra India
Gernebcin Nemecko
Komitob India
Nebcin Egypt, Grécko, nový Zéland, Saudská Arábia, Spojené arabské emiráty, Veľká Británia
Nebcina Dánsko, Maroko, Nórsko, Švédsko
Nebcine Francúzsko, Maroko, Slovinsko
Nebicina Taliansko
Obracin Belgicko, Holandsko, Luxembursko, Švajčiarsko
Tobracin Brazília, Egypt, Saudská Arábia
Tobramicina Argentína, Brazília, Čile, Ekvádor, Kolumbia, Portugalsko, Španielsko, Taliansko
Tobramina Brazília
Tobramycin Austrália, Írsko, Kanada, Nemecko, Nórsko, Saudská Arábia, Spojené štáty Americké, Veľká Británia
Tobramycine Francúzsko, Holandsko, Írsko
Tobrasix Rakúsko
Tobrazid Nemecko
Stabilita roztokov   Injekcia   Stabilita roztokov : Tobramycin sulfate     
obal rozpúšťadlo koncentrácia teplota uchovávanie Trvanie stability odkazy na lieteratúru
polyvinylchlorid (PVC) 0,9% chlorid sodný 1 & 10 mg/ml 25°C nešpecifikované
3 dní
13
Úroveň dôkazov B

polyvinylchlorid (PVC) 0,9% chlorid sodný 1 & 10 mg/ml 5°C Chránené pred svetlom
14 dní
13
Úroveň dôkazov B

polyvinylchlorid (PVC) 0,9% chlorid sodný 1,2 mg/ml -20°C Chránené pred svetlom
28 dní
565
Úroveň dôkazov D

polyvinylchlorid (PVC) 0,9% chlorid sodný 1,2 mg/ml 25°C Za svetla
48 hodín
434

polyvinylchlorid (PVC) 0,9% chlorid sodný 1,2 mg/ml 4°C Chránené pred svetlom
48 hodín
434

polyvinylchlorid (PVC) 5% glukóza 1,2 mg/ml -20°C Chránené pred svetlom
28 dní
565
Úroveň dôkazov D

polyvinylchlorid (PVC) 5% glukóza 1,2 mg/ml 25°C Za svetla
48 hodín
434

polyvinylchlorid (PVC) 5% glukóza 1,2 mg/ml 4°C Chránené pred svetlom
48 hodín
434

polyvinylchlorid (PVC) 5% glukóza 3,2 mg/ml -20°C Chránené pred svetlom
30 dní
575
biologická analýza

etylénvinylacetát 0,9% chlorid sodný 0,95 mg/ml 23°C Chránené pred svetlom
7 dní
1704
Úroveň dôkazov A+

etylénvinylacetát 0,9% chlorid sodný 0,95 mg/ml 4°C Chránené pred svetlom
30 dní
1704
Úroveň dôkazov A+

Injekčná striekačka polypropylén voda na injekciu 40 mg/ml 25°C nešpecifikované
60 dní
709
biologická analýza

Injekčná striekačka polypropylén voda na injekciu 40 mg/ml 4°C Chránené pred svetlom
60 dní
709
biologická analýza

Injekčná striekačka polypropylén 0,9% chlorid sodný 30 mg/ml 22°C-23°C Za svetla
48 hodín
639
Úroveň dôkazov D

Polyizoprénový elastomer 0,9% chlorid sodný 0,5 & 5 mg/ml 25°C nešpecifikované
24 hodín
604
Údaje o stabilite od výrobcu

Polyizoprénový elastomer 0,9% chlorid sodný 0,5 & 5 mg/ml 4°C Chránené pred svetlom
10 dní
604
Údaje o stabilite od výrobcu

Polyizoprénový elastomer 5% glukóza 0,5 & 5 mg/ml 25°C nešpecifikované
24 hodín
604
Údaje o stabilite od výrobcu

Polyizoprénový elastomer 5% glukóza 0,5 & 5 mg/ml 4°C Chránené pred svetlom
10 dní
604
Údaje o stabilite od výrobcu


  Mentions Légales