Останнє оновлення :
27/04/2026
Антибіотик   Tobramycin sulfate  
ін'єкція
аерозоль Очні краплі Розчин для перорального застосування
Стійкість в розчинах Стійкість сумішей Фактори, що впливають на стабільність Сумісність Шлях введення Список літератури pdf
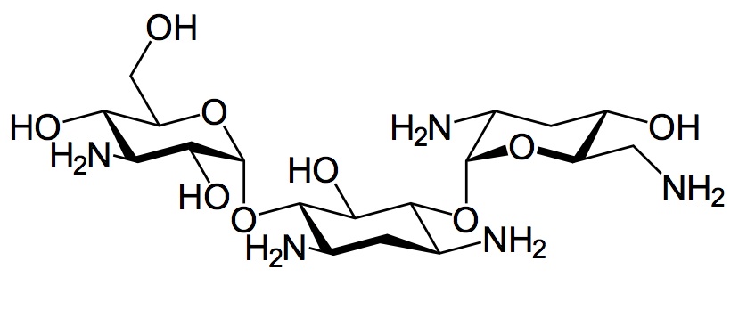
   Хімічна структура  

Торгова назва   Торгова назва     

Торгові назви є орієнтовними, а склад допоміжних речовин може бути різним залежно від країни та виробника

Bactob Індія
Beltob Індія
Bramicil Італія
Brulamycin Малайзія, Словенія, Угорщина
Eltol Індія
Fytobra Індія
Gernebcin Німеччина
Komitob Індія
Nebcin Єгипет, Великобританія, Греція, Нова Зеландія, Об'єднані Арабські Емірати, Саудівська Аравія
Nebcina Данія, Марокко, Норвегія, Швеція
Nebcine Марокко, Словенія, Франція
Nebicina Італія
Obracin Бельгія, Люксембург, Нідерланди, Швейцарія
Tobracin Єгипет, Бразилія, Саудівська Аравія
Tobramicina Іспанія, Італія, Аргентина, Бразилія, Еквадор, Колумбія, Португалія, Чилі
Tobramina Бразилія
Tobramycin Ірландія, Австралія, Великобританія, Канада, Німеччина, Норвегія, Саудівська Аравія, Сполучені Штати Америки
Tobramycine Ірландія, Нідерланди, Франція
Tobrasix Австрія
Tobrazid Німеччина
Стійкість в розчинах   ін'єкція   Стійкість в розчинах : Tobramycin sulfate     
Контейнер Розчинник Концентрація температура Зберігання Тривалість стабільності Список літератури
Полівініл хлорид Натрію хлорид 0,9% 1 & 10 mg/ml 25°C Не визначено
3 День
13
Рівень доказовості B

Полівініл хлорид Натрію хлорид 0,9% 1 & 10 mg/ml 5°C Берегти від світла
14 День
13
Рівень доказовості B

Полівініл хлорид Натрію хлорид 0,9% 1,2 mg/ml -20°C Берегти від світла
28 День
565
Рівень доказовості D

Полівініл хлорид Натрію хлорид 0,9% 1,2 mg/ml 25°C світло
48 годину
434

Полівініл хлорид Натрію хлорид 0,9% 1,2 mg/ml 4°C Берегти від світла
48 годину
434

Полівініл хлорид Глюкоза 5% 1,2 mg/ml -20°C Берегти від світла
28 День
565
Рівень доказовості D

Полівініл хлорид Глюкоза 5% 1,2 mg/ml 25°C світло
48 годину
434

Полівініл хлорид Глюкоза 5% 1,2 mg/ml 4°C Берегти від світла
48 годину
434

Полівініл хлорид Глюкоза 5% 3,2 mg/ml -20°C Берегти від світла
30 День
575
Біологічний аналіз

Етиленвінілацетат Натрію хлорид 0,9% 0,95 mg/ml 23°C Берегти від світла
7 День
1704
Рівень доказовості А+

Етиленвінілацетат Натрію хлорид 0,9% 0,95 mg/ml 4°C Берегти від світла
30 День
1704
Рівень доказовості А+

Поліпропіленовий шприц Вода для ін'єкцій 40 mg/ml 25°C Не визначено
60 День
709
Біологічний аналіз

Поліпропіленовий шприц Вода для ін'єкцій 40 mg/ml 4°C Берегти від світла
60 День
709
Біологічний аналіз

Поліпропіленовий шприц Натрію хлорид 0,9% 30 mg/ml 22°C-23°C світло
48 годину
639
Рівень доказовості D

Поліізопреновий еластомер Натрію хлорид 0,9% 0,5 & 5 mg/ml 25°C Не визначено
24 годину
604
Дані виробника про стабільність

Поліізопреновий еластомер Натрію хлорид 0,9% 0,5 & 5 mg/ml 4°C Берегти від світла
10 День
604
Дані виробника про стабільність

Поліізопреновий еластомер Глюкоза 5% 0,5 & 5 mg/ml 25°C Не визначено
24 годину
604
Дані виробника про стабільність

Поліізопреновий еластомер Глюкоза 5% 0,5 & 5 mg/ml 4°C Берегти від світла
10 День
604
Дані виробника про стабільність


  Mentions Légales