Son güncelleme :
31/03/2026
Antibiyotik   Tobramycin sulfate  
Enjeksiyon
Aerosol Göz damlası Oral solüsyon / oral çözelti
Çözeltilerin stabilitesi Karışımlardaki stabilitesi Stabiliteyi etkileyen faktörler Uyumluluk Uygulama yöntemi Kaynaklar pdf
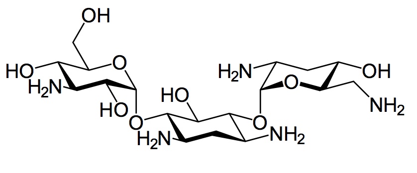
   Kimyasal yapı   

Ticari isim   Ticari isim     

Trade names are indicative and excipients composition can be different depending on the country and manufacturers

Bactob Hindistan
Beltob Hindistan
Bramicil İtalya
Brulamycin Macaristan, Malezya, Slovenya
Eltol Hindistan
Fytobra Hindistan
Gernebcin Almanya
Komitob Hindistan
Nebcin Birleşik Arap Emirlikleri, Büyük Britanya, Mısır, Suudi Arabistan, yeni Zelanda, Yunanistan
Nebcina Danimarka, Fas, İsveç, Norveç
Nebcine Fas, Fransa, Slovenya
Nebicina İtalya
Obracin Belçika, Hollanda, İsviçre, Lüksemburg
Tobracin Brezilya, Mısır, Suudi Arabistan
Tobramicina Arjantin, Brezilya, Ekvador, İspanya, İtalya, Kolombiya, Portekiz, Şili
Tobramina Brezilya
Tobramycin Almanya, Amerika Birleşik Devletleri, Avustralya, Büyük Britanya, İrlanda, Kanada, Norveç, Suudi Arabistan
Tobramycine Fransa, Hollanda, İrlanda
Tobrasix Avusturya
Tobrazid Almanya
Uygulama yöntemi   Uygulama yöntemi :Tobramycin sulfate     
Voie
İntravenöz
İntravenöz infüzyon
İntramüsküler
İntraventriküler
Subkütan infüzyon

  Mentions Légales