Poslední aktualizace :
27/04/2026
Antibiotikum   Tobramycin sulfate  
injekce
Aerosol Humbuk Perorální roztok
Stabilita roztoků Stabilita směsí Faktory ovlivňující stabilitu Kompatibilita Způsoby aplikace Odkazy pdf
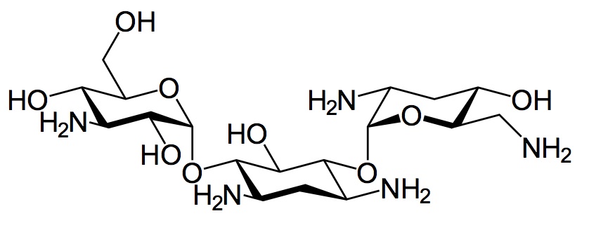
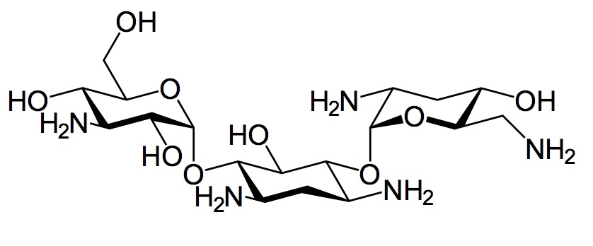
   Chemický vzorec  

Obchodní název   Obchodní název     

Trade names are indicative and excipients composition can be different depending on the country and manufacturers

Bactob Indie
Beltob Indie
Bramicil Itálie
Brulamycin Malajsie, MaÔarsko, Slovinsko
Eltol Indie
Fytobra Indie
Gernebcin NÏmecko
Komitob Indie
Nebcin Egypt, nový Zéland, Saúdská Arábie, Spojené arabské emiráty, Velká Británie, ÿecko
Nebcina Dánsko, Maroko, Norsko, Švédsko
Nebcine Francie, Maroko, Slovinsko
Nebicina Itálie
Obracin Belgie, Lucembursko, Nizozemsko, Švýcarsko
Tobracin BrazÌlie, Egypt, Saúdská Arábie
Tobramicina äpanÏlsko, Argentina, BrazÌlie, Chile, Ekvádor, Itálie, Kolumbie, Portugalsko
Tobramina BrazÌlie
Tobramycin Austrálie, Irsko, Kanada, NÏmecko, Norsko, Saúdská Arábie, USA, Velká Británie
Tobramycine Francie, Irsko, Nizozemsko
Tobrasix Rakousko
Tobrazid NÏmecko
Způsoby aplikace   Způsoby aplikace :Tobramycin sulfate     
Voie
intravenÛznÏ
Intravenózní infúze
intramuskulárně
intraventrikulárně
Podkožní infúze

  Mentions Légales