最新更新 :
27/04/2026
抗生素   Tobramycin sulfate  
注射液
口服剂 气雾剂 眼药水
溶液稳定性 混合物稳定性 影响稳定性的因素 兼容性 用药途径 引用文献 PDF
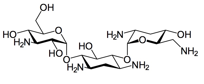
   化学式  

商品名   商品名     

商品名仅供参考, 药品所用的辅料可能依国家或厂商不同有所不同。

Bactob 印度
Beltob 印度
Bramicil 意大利
Brulamycin 匈牙利, 斯洛文尼亚, 马来西亚
Eltol 印度
Fytobra 印度
Gernebcin 德国
Komitob 印度
Nebcin 埃及, 希腊, 新西蘭, 沙特阿拉伯, 英国, 阿联酋
Nebcina 丹麦, 挪威, 摩洛哥, 瑞典
Nebcine 摩洛哥, 斯洛文尼亚, 法国
Nebicina 意大利
Obracin 卢森堡, 比利时, 瑞士, 荷兰
Tobracin 埃及, 巴西, 沙特阿拉伯
Tobramicina 厄瓜多尔, 哥伦比亚, 巴西, 意大利, 智利, 葡萄牙, 西班牙, 阿根廷
Tobramina 巴西
Tobramycin 加拿大, 德国, 挪威, 沙特阿拉伯, 澳大利亚, 爱尔兰, 美国, 英国
Tobramycine 法国, 爱尔兰, 荷兰
Tobrasix 奥地利
Tobrazid 德国
用药途径   用药途径 :Tobramycin sulfate     
路线
静脉注射
静脉输液
肌肉内
脑室内
皮下输液

  Mentions Légales