Viimeisin päivitys :
31/03/2026
Antibiootit   Tobramycin sulfate  
Injektioneste
Aerosoli Oraaliliuos Silmätipat
Stabilius liuoksessa Stabilius seoksissa Tekijät, jotka vaikuttavat stabiliuteen Yhteensopivuus Antotapa Viitteet pdf
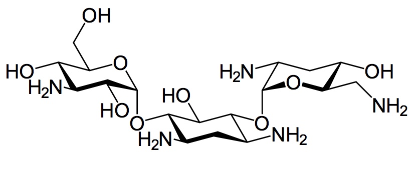
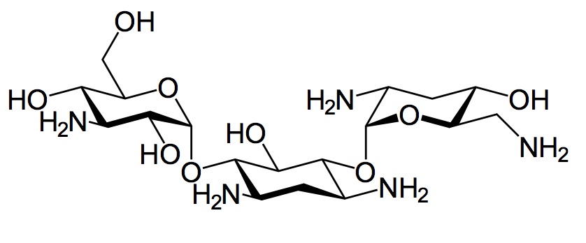
   Kemiallinen rakenne  

Kauppanimi   Kauppanimi     

Trade names are indicative and excipients composition can be different depending on the country and manufacturers

Bactob Intia
Beltob Intia
Bramicil Italia
Brulamycin Malesia, Slovenia, Unkari
Eltol Intia
Fytobra Intia
Gernebcin Saksa
Komitob Intia
Nebcin Egypti, Iso-Britannia, Kreikka, New Zealand, Saudi-Arabia, Yhdistyneet arabiemiirikunnat
Nebcina Marokko, Norja, Ruotsi, Tanska
Nebcine Marokko, Ranska, Slovenia
Nebicina Italia
Obracin Belgia, Hollanti, Luxemburg, Sveitsi
Tobracin Brasilia, Egypti, Saudi-Arabia
Tobramicina Argentiina, Brasilia, Chile, Ecuador, Espanja, Italia, Kolumbia, Portugali
Tobramina Brasilia
Tobramycin Australia, Irlanti, Iso-Britannia, Kanada, Norja, Saksa, Saudi-Arabia, Yhdysvallat
Tobramycine Hollanti, Irlanti, Ranska
Tobrasix Itävalta
Tobrazid Saksa
Antotapa   Antotapa :Tobramycin sulfate     
Voie
Intravenoosi
Intravenoosi-infuusio
Intramuskulaarinen
Intraventrikulaarinen
Subkutaaninen infuusio

  Mentions Légales