zadnja posodobitev :
27/04/2026
Antibiotik   Tobramycin sulfate  
Brizgalka
Aerosol Kapljice za oči Peroralna raztopina
Stabilnost raztopine Stabilnost mešanice Faktorji, ki vplivajo na stabilnost Kompatibilnost način aplikacije Viri pdf
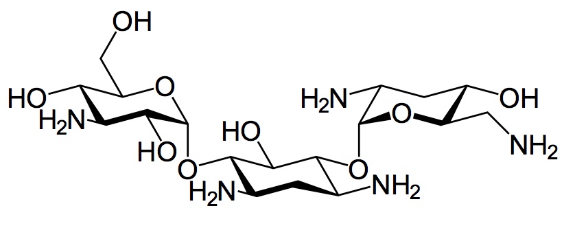
   Kemična formula  

Lastniško ime   Lastniško ime     

Sestava pomožnih snovi je med paralelami lahko različna

Bactob Indija
Beltob Indija
Bramicil Italija
Brulamycin Madžarska, Malezija, Slovenija
Eltol Indija
Fytobra Indija
Gernebcin Nemčija
Komitob Indija
Nebcin Egipt, Grčija, nova Zelandija, Savdska Arabija, Velika Britanija, Združeni arabski emirati
Nebcina Danska, Maroko, Norveška, Švedska
Nebcine Francija, Maroko, Slovenija
Nebicina Italija
Obracin Belgija, Luksemburg, Nizozemska, Švica
Tobracin Brazilija, Egipt, Savdska Arabija
Tobramicina Argentina, Brazilija, Čile, Ekvador, Italija, Kolumbija, Portugalska, Španija
Tobramina Brazilija
Tobramycin Avstralija, Irska, Kanada, Nemčija, Norveška, Savdska Arabija, Velika Britanija, Združene države Amerike
Tobramycine Francija, Irska, Nizozemska
Tobrasix Avstrija
Tobrazid Nemčija
način aplikacije   način aplikacije :Tobramycin sulfate     
Voie
Intravensko
Intravenska infuzija
Intramuskularno
intraventrikularno
Podkožna perfuzija

  Mentions Légales