Последно актуализиране :
27/04/2026
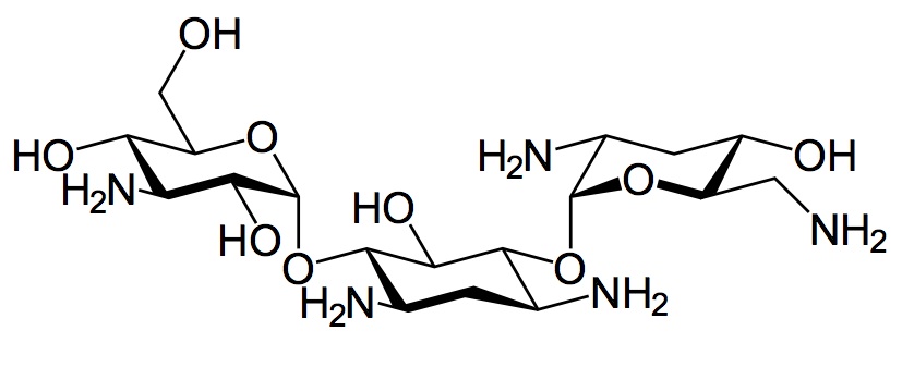
Антибиотик   Tobramycin sulfate  
Инжекция/Инжекционен
Аерозол Капки за очи Орален разтвор
Стабилност на разтвори Стабилност на смеси Фактори, повлияващи стабилността Съвместимост Път на въвеждане Библиография Pdf
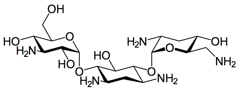
   Химична структура  

Търговско наименование   Търговско наименование     

Търговските имена са примерни и съставът на помощните вещества може да бъде различен в зависимост от държавата и лабораториите

Bactob Индия
Beltob Индия
Bramicil Италия
Brulamycin Малайзия, Словения, Унгария
Eltol Индия
Fytobra Индия
Gernebcin Германия
Komitob Индия
Nebcin Великобритания, Гърция, Египет, нова Зеландия, Обединени арабски емирства, Саудитска Арабия
Nebcina Дания, Мароко, Норвегия, Швеция
Nebcine Мароко, Словения, Франция
Nebicina Италия
Obracin Белгия, Люксенбург, Холандия, Швейцария
Tobracin Бразилия, Египет, Саудитска Арабия
Tobramicina Аржентина, Бразилия, Еквадор, Испания, Италия, Колумбия, Португалия, Чили
Tobramina Бразилия
Tobramycin Австралия, Великобритания, Германия, Ирландия, Канада, Норвегия, Саудитска Арабия, Съединени Американски щати / САЩ
Tobramycine Ирландия, Франция, Холандия
Tobrasix Австрия
Tobrazid Германия
Път на въвеждане   Път на въвеждане :Tobramycin sulfate     
Voie
Интравенозно
Интравенозна инфузия
Интрамускулно
Интравентрикуларно
Подкожна инфузия

  Mentions Légales