Dernière mise à jour :
27/04/2026
Antibiotique   Tobramycin sulfate  
injectable
Aérosol Collyre Solution buvable
Stabilité des solutions Stabilité en mélange Facteur influençant la stabilité Compatibilités Voie d’administration Bibliographie pdf
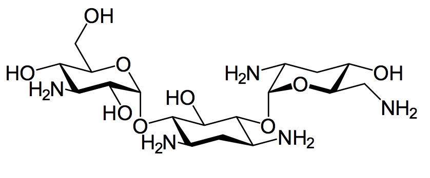
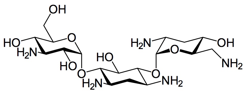
   Structure chimique  

Noms commerciaux   Noms commerciaux     

Les noms commerciaux sont donnés à titre indicatif et la composition en excipients peut être différente selon les pays et selon les laboratoires

Bactob Inde
Beltob Inde
Bramicil Italie
Brulamycin Hongrie, Malaisie, Slovénie
Eltol Inde
Fytobra Inde
Gernebcin Allemagne
Komitob Inde
Nebcin Arabie Saoudite, Egypte, Emirats Arabes Unis , Grande Bretagne, Grèce, Nouvelle Zélande
Nebcina Danemark, Maroc, Norvège, Suède
Nebcine France, Maroc, Slovénie
Nebicina Italie
Obracin Belgique, Luxembourg, Pays bas, Suisse
Tobracin Arabie Saoudite, Brésil, Egypte
Tobramicina Argentine, Brésil, Chili, Colombie, Equateur, Espagne, Italie, Portugal
Tobramina Brésil
Tobramycin Allemagne, Arabie Saoudite, Australie, Canada, Etats Unis d’Amérique, Grande Bretagne, Irlande, Norvège
Tobramycine France, Irlande, Pays bas
Tobrasix Autriche
Tobrazid Allemagne
Voie d’administration   Voie d’administration :Tobramycin sulfate     
Voie
Intraveineuse
Perfusion intraveineuse
Intramusculaire
Intraventriculaire
Perfusion sous-cutanée

  Mentions Légales