Zadnji put ažurirano :
27/04/2026
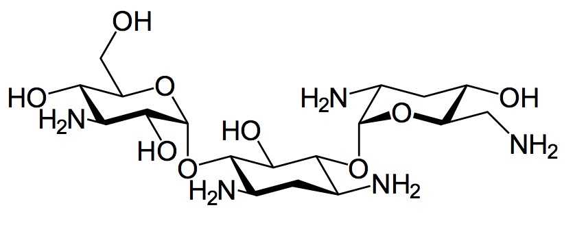
antibiotik   Tobramycin sulfate  
injekcija
aerosol kapi za oko oralna otopina
Stabilizacija rješenja Stabilnost mješavine Stabilizacijski faktor Kompatibilnosti način davanja lijeka Bibliografija pdf
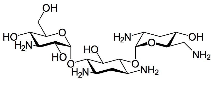
   Kemijska struktura  

Nekomercijalni   Nekomercijalni     

Zaštićeni nazivi su indikativni i sastav ekscipijensa može biti različit ovisno o državi i laboratorijima

Bactob Indija
Beltob Indija
Bramicil Italija
Brulamycin Madžarska, Malezija, Slovenija
Eltol Indija
Fytobra Indija
Gernebcin Njemačka
Komitob Indija
Nebcin Egipat, Grčka, novi Zeland, Saudijska Arabija, Ujedinjeni Arapski Emirati, Velika Britanija
Nebcina Danska, Maroko, Norveška, Švedska
Nebcine Francuska, Maroko, Slovenija
Nebicina Italija
Obracin Belgija, Luksemburg, Nizozemska, Švicarska
Tobracin Brazil, Egipat, Saudijska Arabija
Tobramicina Argentina, Brazil, Čile, Ekvador, Italija, Kolumbija, Portugal, Španjolska
Tobramina Brazil
Tobramycin Australija, Irska, Kanada, Njemačka, Norveška, S A D, Saudijska Arabija, Velika Britanija
Tobramycine Francuska, Irska, Nizozemska
Tobrasix Austrija
Tobrazid Njemačka
način davanja lijeka   način davanja lijeka :Tobramycin sulfate     
Voie
intravenozno
intravenozna infuzija
intramuskularni
intraventikularno
subkutana infuzija

  Mentions Légales