Seneste opdatering :
27/04/2026
Antibiotisk   Tobramycin sulfate  
Injektion
Aerosol Oral opløsning Øjendråber
Stabilitet i (vandige) opløsninger Stabilitet i blandinger Faktorer der påvirker stabiliteten Kompatibilitet Administrationsvej Bibliografi pdf
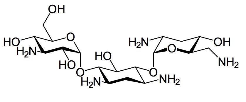
   Kemisk struktur  

Handelsnavn   Handelsnavn     

Handel navne er vejledende og hjælpestoffer sammensætning kan være forskellig afhængigt af landet og laboratorier

Bactob Indien
Beltob Indien
Bramicil Italien
Brulamycin Malaysia, Slovenien, Ungarn
Eltol Indien
Fytobra Indien
Gernebcin Tyskland
Komitob Indien
Nebcin Forenede Arabiske Emirater, Grækenland, New Zealand, Saudi-Arabien, Storbritanien, Ægypten
Nebcina Danmark, Marokko, Norge, Sverige
Nebcine Frankrig, Marokko, Slovenien
Nebicina Italien
Obracin Belgien, Holland, Luxemborg, Schweiz
Tobracin Brasilien, Saudi-Arabien, Ægypten
Tobramicina Argentina, Brasilien, Chile, Colombia, Ecuador, Italien, Portugal, Spanien
Tobramina Brasilien
Tobramycin Australien, Canada, Irland, Norge, Saudi-Arabien, Storbritanien, Tyskland, USA
Tobramycine Frankrig, Holland, Irland
Tobrasix Østrig
Tobrazid Tyskland
Administrationsvej   Administrationsvej :Tobramycin sulfate     
Voie
Intravenøs
Intravenøs infusion
Intramuskulær
Intraventrikulær
Subcutan infusion

  Mentions Légales