Senaste uppdateringen :
27/04/2026
Antibiotikum   Netilmicin sulfate  
injektion
Aerosol
Lösningars stabilitet Stabilitet i blandningar Faktorer som påverkar stabiliteten Kompatibilitet Administreringssätt Hänvisningar pdf
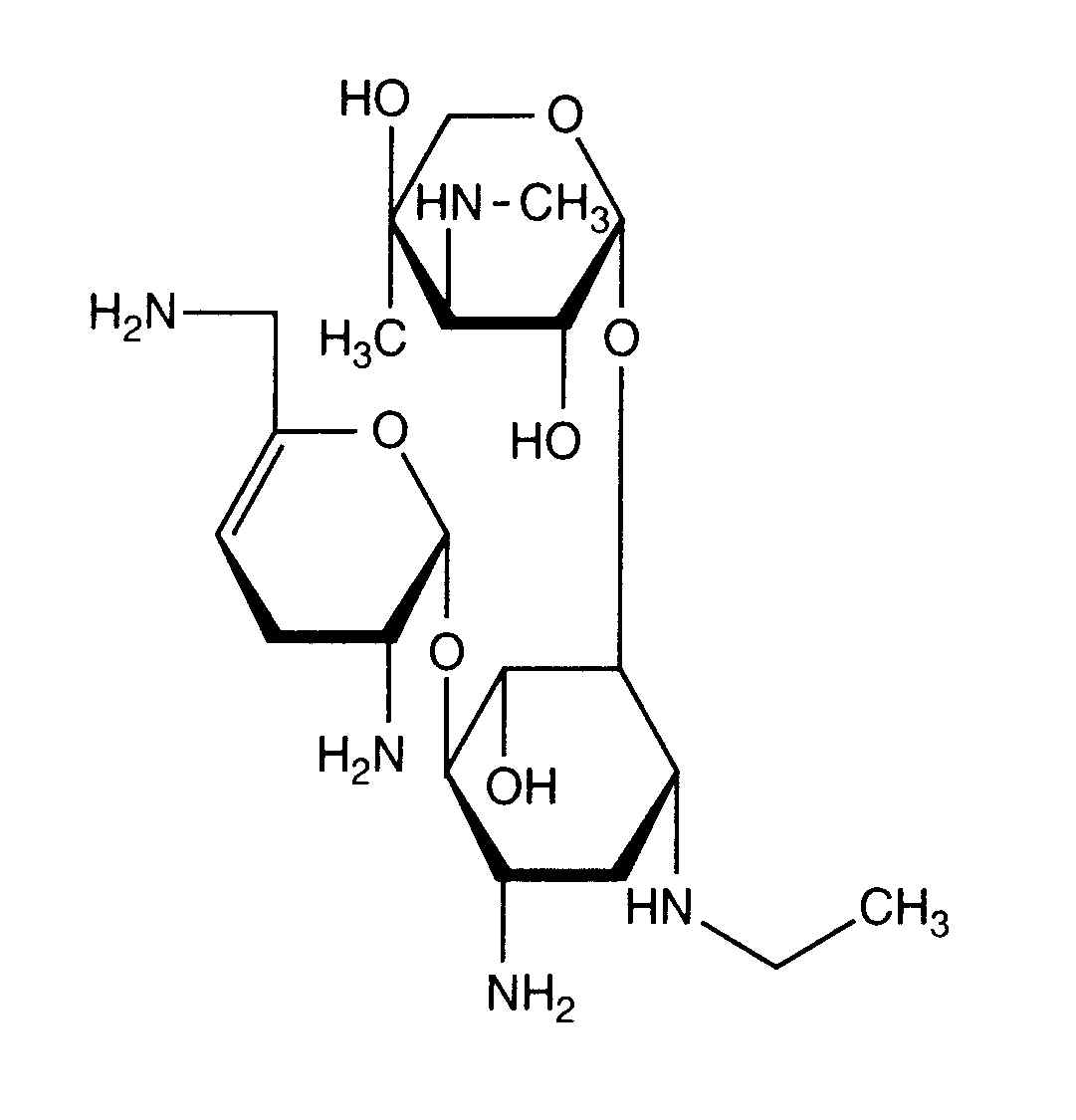
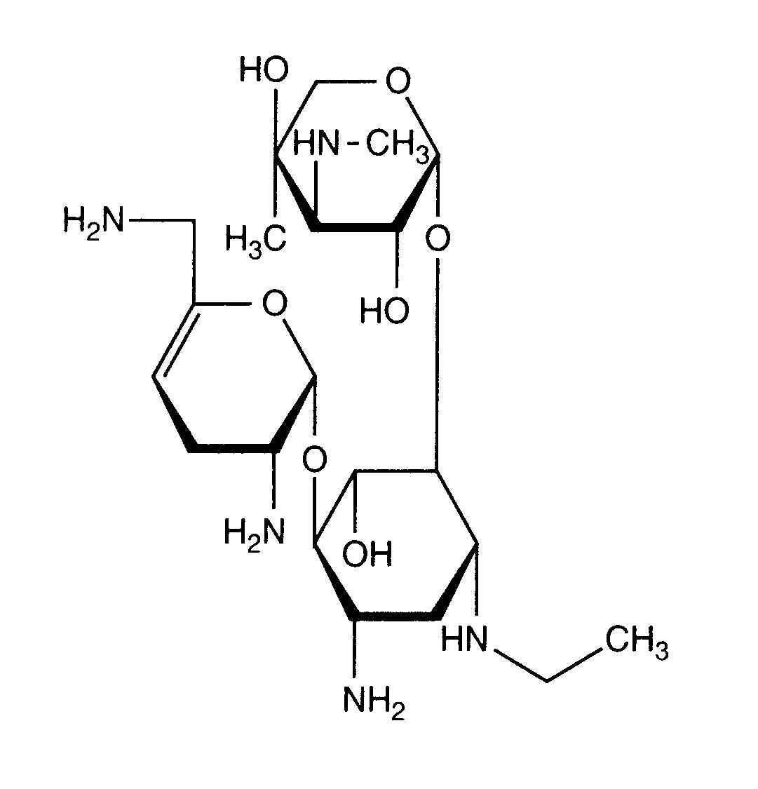
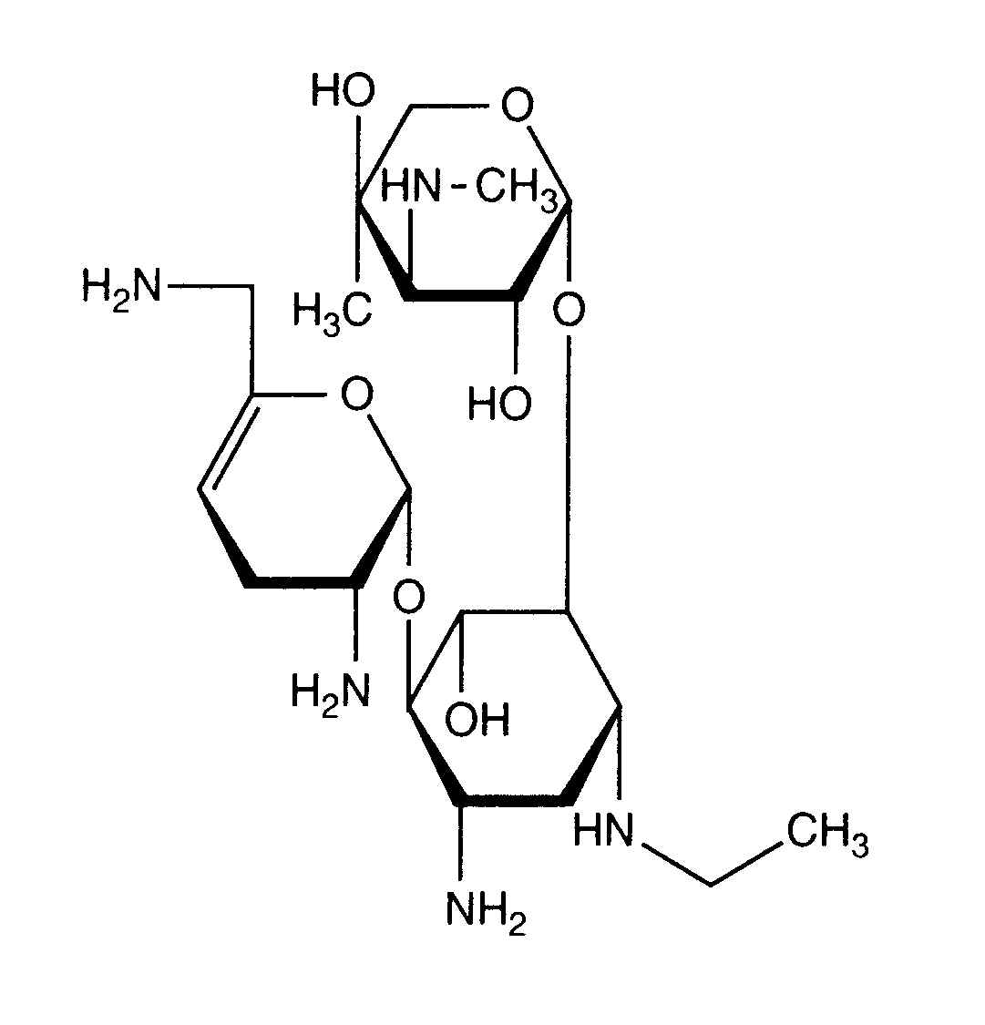
   Molekylstruktur  

Varunamn   Varunamn     

Angivna handelsnamn på läkemedel är enbart vägledande då formulering inklusive hjälpämnen kan variera mellan länder och tillverkare

Bactob Indien
Beltob Indien
Bramicil Italien
Brulamycin Ungern
Eltol Indien
Fytobra Indien
Gernebcin Tyskland
Komitub Indien
Nebcin Australien, Egypten, Förenade Arabemiraten, Grekland, nya Zeeland, Saudi-Arabien, Storbritannien
Nebcina Danmark, Marocko, Norge, Sverige
Nebcine Marocko
Nebicina Italien
Netilyn Finland, Sverige
Netromicina Portugal
Netromicine Frankrike
Netromycine Grekland, Polen, ryska, Turkiet
Nettacin Italien
Obracin Belgien, Luxemburg, Nederländerna, Schweiz
Tobra Tyskland
Tobra Alex Egypten
Tobra Day nya Zeeland
Tobra Gobens Spanien
Tobracin Egypten
Tobradistin Spanien
Tobramicina Italien, Portugal, Spanien, Venezuela
Tobramina Brasilien
Tobramycin Australien, Förenta Staterna, Irland, Kanada, Norge, Saudi-Arabien, Storbritannien, Tyskland
Tobramycine Frankrike, Irland, Nederländerna
Tobrasix Österrike
Tobrazid Tyskland
Tomycin Finland
Zetamicin Italien
Stabilitet i blandningar   injektion   Stabilitet i blandningar : Netilmicin sulfate     
Behållare Lösningsmedel Koncentration Substans Temperatur Förvaring Stabilitets varaktighet Hänvisningar
Glas Natriumklorid 0,9 % 3 mg/ml
injektion   Netilmicin sulfate   
injektion   Clindamycin phosphate 9 mg/ml
24°C
24 Timma
Ljus 421
Joker
Glas Glukos 5 % 3 mg/ml
injektion   Netilmicin sulfate   
injektion   Clindamycin phosphate 9 mg/ml
24°C
24 Timma
Ljus 421
Joker
Polyvinylklorid Natriumklorid 0,9 % 3 mg/ml
injektion   Netilmicin sulfate   
injektion   Clindamycin phosphate 9 mg/ml
24°C
24 Timma
Ljus 421
Joker
Polyvinylklorid Glukos 5 % 3 mg/ml
injektion   Netilmicin sulfate   
injektion   Clindamycin phosphate 9 mg/ml
24°C
24 Timma
Ljus 421
Joker

  Mentions Légales