Laatste update :
27/04/2026
Antibioticum   Netilmicin sulfate  
injecteerbaar geneesmiddel
Aerosol
Stabiliteit in oplossing Stabiliteit in mengsels Factoren die de stabiliteit beïnvloeden Verenigbaarheden Toedieningswijze Literatuur pdf
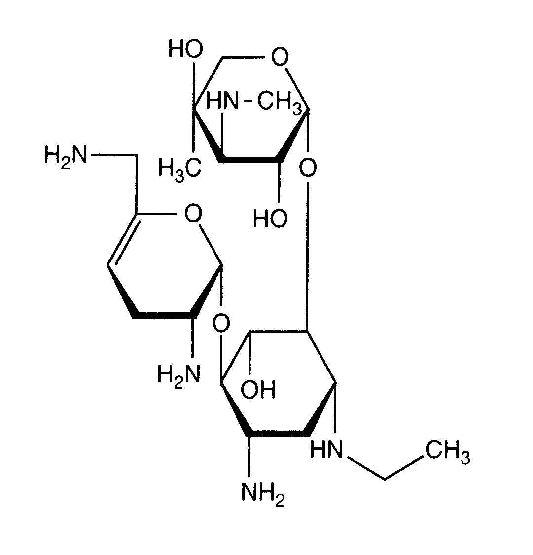
   Molecuulstructuur  

Merknamen in verschillende landen   Merknamen in verschillende landen     

Handelsnamen zijn slechts een indicatie; de samenstelling van hulpstoffen kan per land variëren afhankelijk van de fabrikant

Bactob Indië
Beltob Indië
Bramicil Italië
Brulamycin Hongarije
Eltol Indië
Fytobra Indië
Gernebcin Duitsland
Komitub Indië
Nebcin Australië, Egypte, Griekenland, Groot Britannië, nieuw Zeeland, Saudi-Arabië, Verenigde Arabische Emiraten
Nebcina Denemarken, Marokko, Noorwegen, Zweden
Nebcine Marokko
Nebicina Italië
Netilyn Finland, Zweden
Netromicina Portugal
Netromicine Frankrijk
Netromycine Griekenland, Polen, russisch, Turkije
Nettacin Italië
Obracin België, Luxemburg, Nederland, Zwitserland
Tobra Duitsland
Tobra Alex Egypte
Tobra Day nieuw Zeeland
Tobra Gobens Spanje
Tobracin Egypte
Tobradistin Spanje
Tobramicina Italië, Portugal, Spanje, Venezuela
Tobramina Brazilië
Tobramycin Australië, Canada, Duitsland, Groot Britannië, Ierland, Noorwegen, Saudi-Arabië, USA
Tobramycine Frankrijk, Ierland, Nederland
Tobrasix Oostenrijk
Tobrazid Duitsland
Tomycin Finland
Zetamicin Italië
Stabiliteit in mengsels   injecteerbaar geneesmiddel   Stabiliteit in mengsels : Netilmicin sulfate     
Verpakking Oplosmiddel Concentratie Stof Temperatuur Bewaring Duur van de stabiliteit Literatuur
Glas Natriumchloride 0,9% 3 mg/ml
injecteerbaar geneesmiddel   Netilmicin sulfate   
injecteerbaar geneesmiddel   Clindamycin phosphate 9 mg/ml
24°C
24 Uur
Licht 421
Joker
Glas Glucose 5% 3 mg/ml
injecteerbaar geneesmiddel   Netilmicin sulfate   
injecteerbaar geneesmiddel   Clindamycin phosphate 9 mg/ml
24°C
24 Uur
Licht 421
Joker
Polyvinylchloride (PVC) Natriumchloride 0,9% 3 mg/ml
injecteerbaar geneesmiddel   Netilmicin sulfate   
injecteerbaar geneesmiddel   Clindamycin phosphate 9 mg/ml
24°C
24 Uur
Licht 421
Joker
Polyvinylchloride (PVC) Glucose 5% 3 mg/ml
injecteerbaar geneesmiddel   Netilmicin sulfate   
injecteerbaar geneesmiddel   Clindamycin phosphate 9 mg/ml
24°C
24 Uur
Licht 421
Joker

  Mentions Légales