آخر تحديث :
27/04/2026
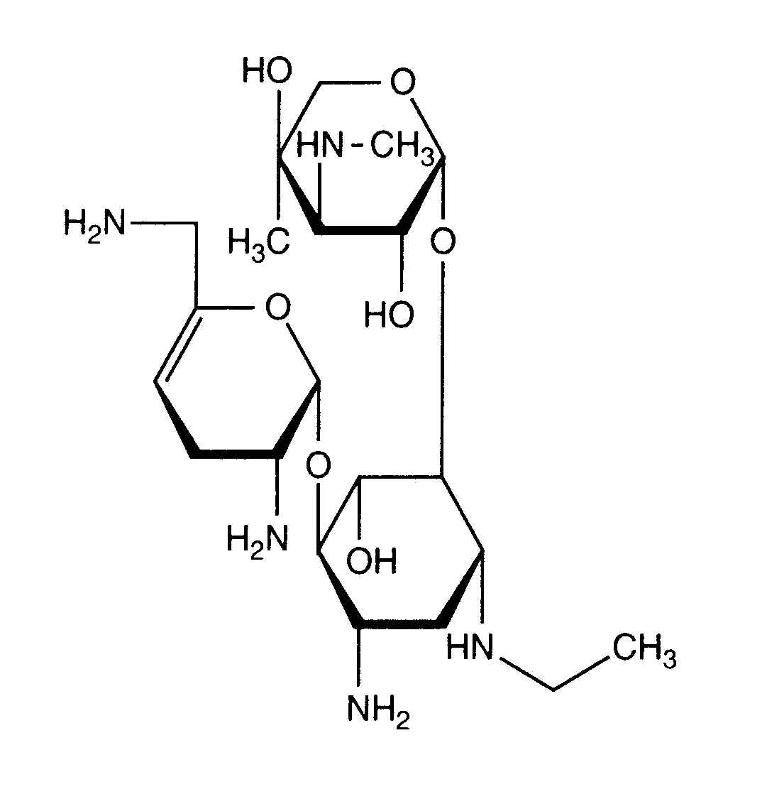
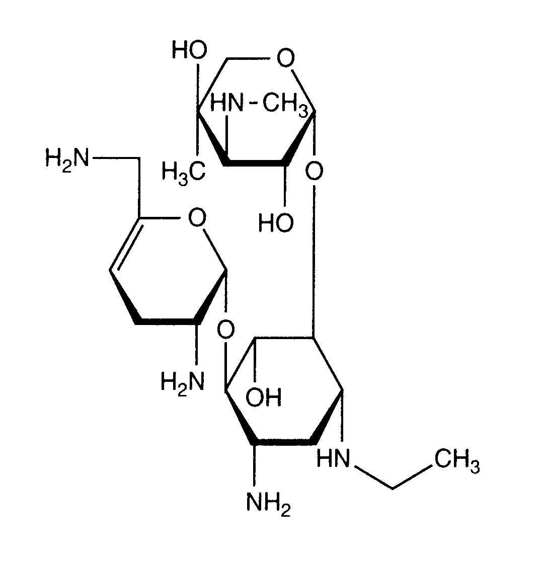
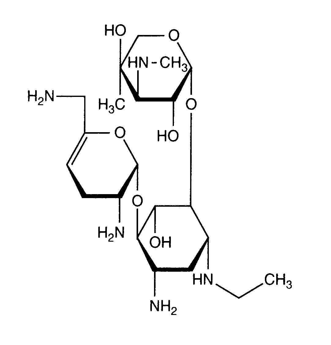
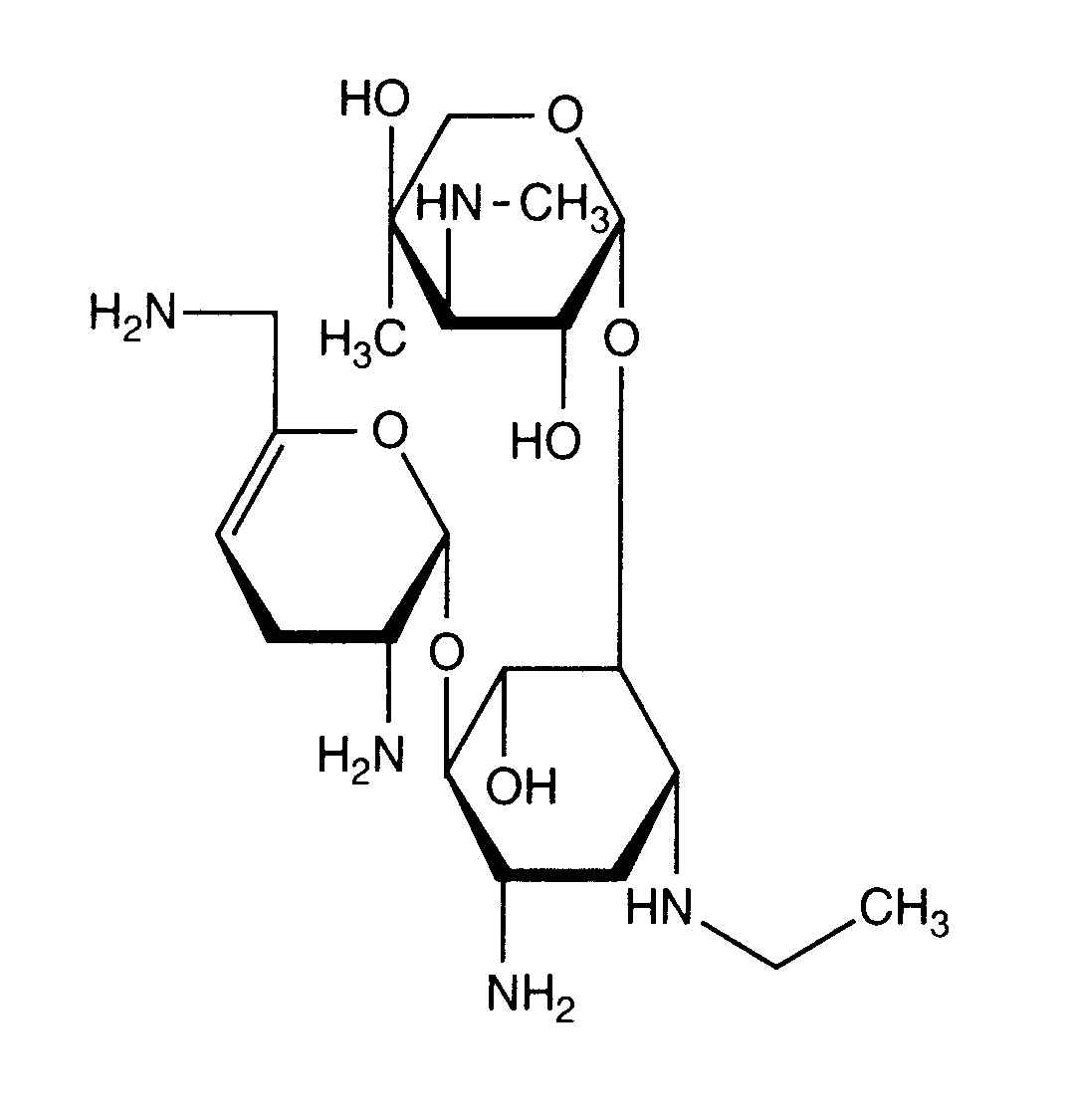
مضاد حيوي   Netilmicin sulfate  
حقن
الأيروصولات
الاستقرار في حلول استقرار مخاليط العوامل التي تؤثر على الاستقرار التوافق طريقة التعاطي مراجع pdf
   التركيب الكيميائي  

حجز الاسم التجاري   حجز الاسم التجاري     

تحذير الأسماء التجاريه المختلفه قد تحتوي علي محتوي إضافات مختلفة حسب الدوله و المعمل

Bactob الهند
Beltob الهند
Bramicil إيطاليا
Brulamycin هنغاريا
Eltol الهند
Fytobra الهند
Gernebcin ألمانيا
Komitub الهند
Nebcin أستراليا, الإمارات العربية المتحدة, العربية السعودية, بريطانيا العظمي, زيلاندا الجديدة, مصر, يونان
Nebcina الدنمارك, السويد, المغرب, النرويج
Nebcine المغرب
Nebicina إيطاليا
Netilyn السويد, فنلندا
Netromicina البرتغال
Netromicine فرنسا
Netromycine الروسية, بولندا, تركيا, يونان
Nettacin إيطاليا
Obracin بلجيكا, سويسرا, لوكسمبورغ, هولندا
Tobra ألمانيا
Tobra Alex مصر
Tobra Day زيلاندا الجديدة
Tobra Gobens إسبانيا
Tobracin مصر
Tobradistin إسبانيا
Tobramicina إسبانيا, إيطاليا, البرتغال, فنزويلا
Tobramina البرازيل
Tobramycin أستراليا, ألمانيا, العربية السعودية, النرويج, الولايات المتحدة, ايرلندا, بريطانيا العظمي, كندا
Tobramycine ايرلندا, فرنسا, هولندا
Tobrasix النمسا
Tobrazid ألمانيا
Tomycin فنلندا
Zetamicin إيطاليا
استقرار مخاليط   حقن   استقرار مخاليط : Netilmicin sulfate     
حاوية مذيب تركيز مركب درجة الحرارة تخزين مدة الاستقرار مراجع
زجاج كلوريد الصوديوم 0.9% 3 mg/ml
حقن   Netilmicin sulfate   
حقن   Clindamycin phosphate 9 mg/ml
24°C
24 ساعة
ضوء 421
joker
زجاج الجلوكوز %5 3 mg/ml
حقن   Netilmicin sulfate   
حقن   Clindamycin phosphate 9 mg/ml
24°C
24 ساعة
ضوء 421
joker
البولي فينيل كلوريد كلوريد الصوديوم 0.9% 3 mg/ml
حقن   Netilmicin sulfate   
حقن   Clindamycin phosphate 9 mg/ml
24°C
24 ساعة
ضوء 421
joker
البولي فينيل كلوريد الجلوكوز %5 3 mg/ml
حقن   Netilmicin sulfate   
حقن   Clindamycin phosphate 9 mg/ml
24°C
24 ساعة
ضوء 421
joker

  Mentions Légales