viimane versioon :
27/04/2026
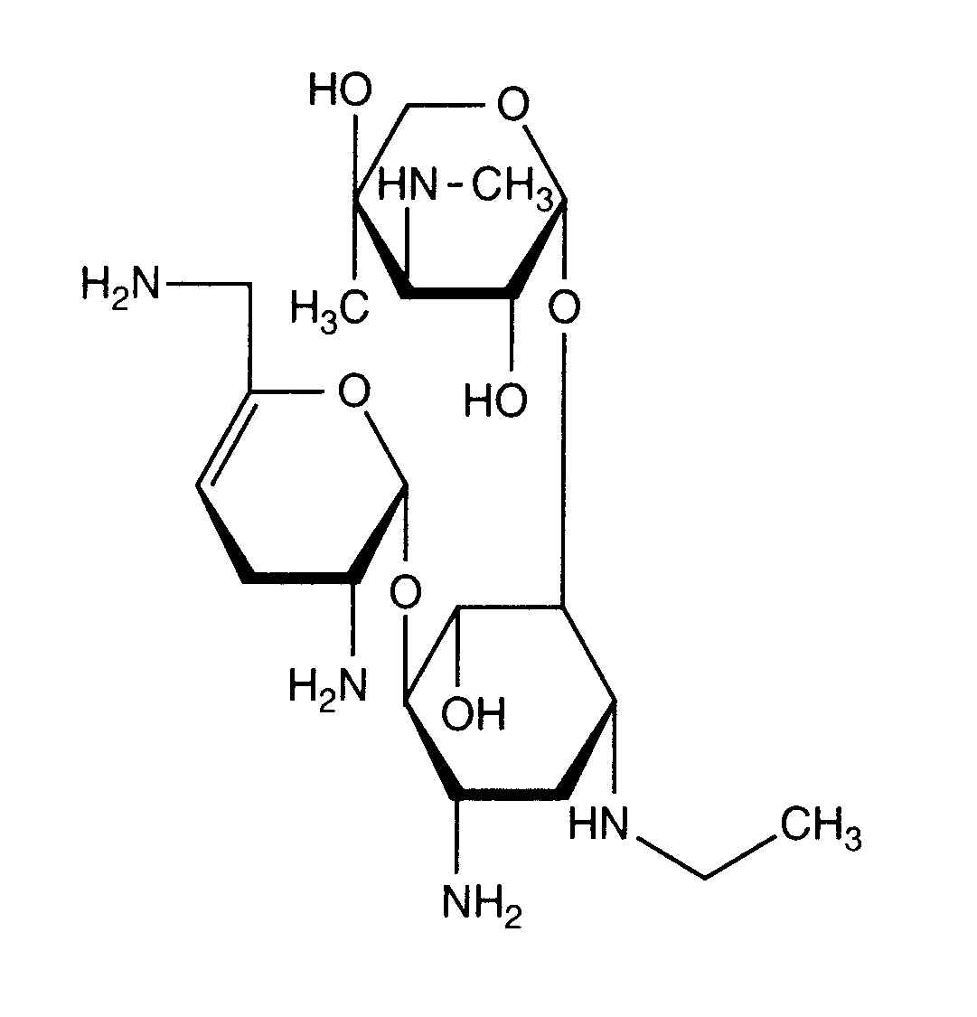
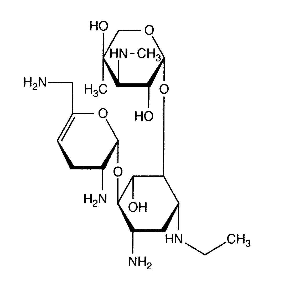
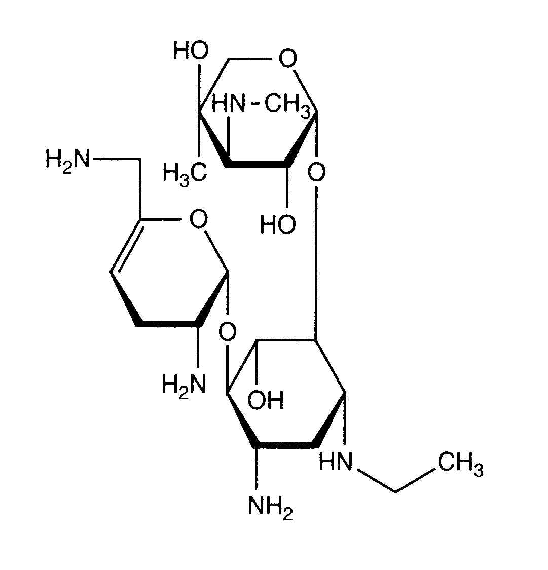
antibiootikum   Netilmicin sulfate  
Süsteravim
aerosool
Stabiilsus lahustes Stabiilsust mõjutavad tegurid stabiilsust mõjutavad faktorid Sobimatus Manustamis viis Viited pdf
   keemiline struktuur  

Kaubanduslikud nimed erinevates maades   Kaubanduslikud nimed erinevates maades     

Preparaatide nimed on näitlikud ja abianete sisaldus võib erineda sõltuvalt riigist ja laborist

Bactob India
Beltob India
Bramicil Itaalia
Brulamycin Ungari
Eltol India
Fytobra India
Gernebcin Saksamaa
Komitub India
Nebcin Araabia Ühendemiraadid, Austraalia, Egiptus, Kreeka, Saudi Araabia, Suurbritannia, uus-Meremaa
Nebcina Maroko, Norra, Rootsi, Taani
Nebcine Maroko
Nebicina Itaalia
Netilyn Rootsi, Soome
Netromicina Portugal
Netromicine Prantsusmaa
Netromycine Kreeka, Poola, Türgi, vene
Nettacin Itaalia
Obracin Belgia, Holland, Luksemburg, Sveits
Tobra Saksamaa
Tobra Alex Egiptus
Tobra Day uus-Meremaa
Tobra Gobens Hispaania
Tobracin Egiptus
Tobradistin Hispaania
Tobramicina Hispaania, Itaalia, Portugal, Venetsueela
Tobramina Brasiilia
Tobramycin Ameerika ühendriigid, Austraalia, Iirimaa, Kanada, Norra, Saksamaa, Saudi Araabia, Suurbritannia
Tobramycine Holland, Iirimaa, Prantsusmaa
Tobrasix Austria
Tobrazid Saksamaa
Tomycin Soome
Zetamicin Itaalia
Stabiilsust mõjutavad tegurid   Süsteravim   Stabiilsust mõjutavad tegurid : Netilmicin sulfate     
konteiner lahusti kontsentratsioon ingredient temperatuur ladustamine Stabiilsuse kestus Viited
klaas naatriumkloriid 0.9% 3 mg/ml
Süsteravim   Netilmicin sulfate   
Süsteravim   Clindamycin phosphate 9 mg/ml
24°C
24 Tund
valgus 421
Jokker
klaas glükoos 5% 3 mg/ml
Süsteravim   Netilmicin sulfate   
Süsteravim   Clindamycin phosphate 9 mg/ml
24°C
24 Tund
valgus 421
Jokker
polüvinüülkloriid naatriumkloriid 0.9% 3 mg/ml
Süsteravim   Netilmicin sulfate   
Süsteravim   Clindamycin phosphate 9 mg/ml
24°C
24 Tund
valgus 421
Jokker
polüvinüülkloriid glükoos 5% 3 mg/ml
Süsteravim   Netilmicin sulfate   
Süsteravim   Clindamycin phosphate 9 mg/ml
24°C
24 Tund
valgus 421
Jokker

  Mentions Légales