最新更新 :
27/04/2026
抗菌薬   Netilmicin sulfate  
注射薬
エアロゾル
溶媒内の安定性 混合時の安定性 安定性に影響する因子 互換性 投与経路 引用文献 PDF
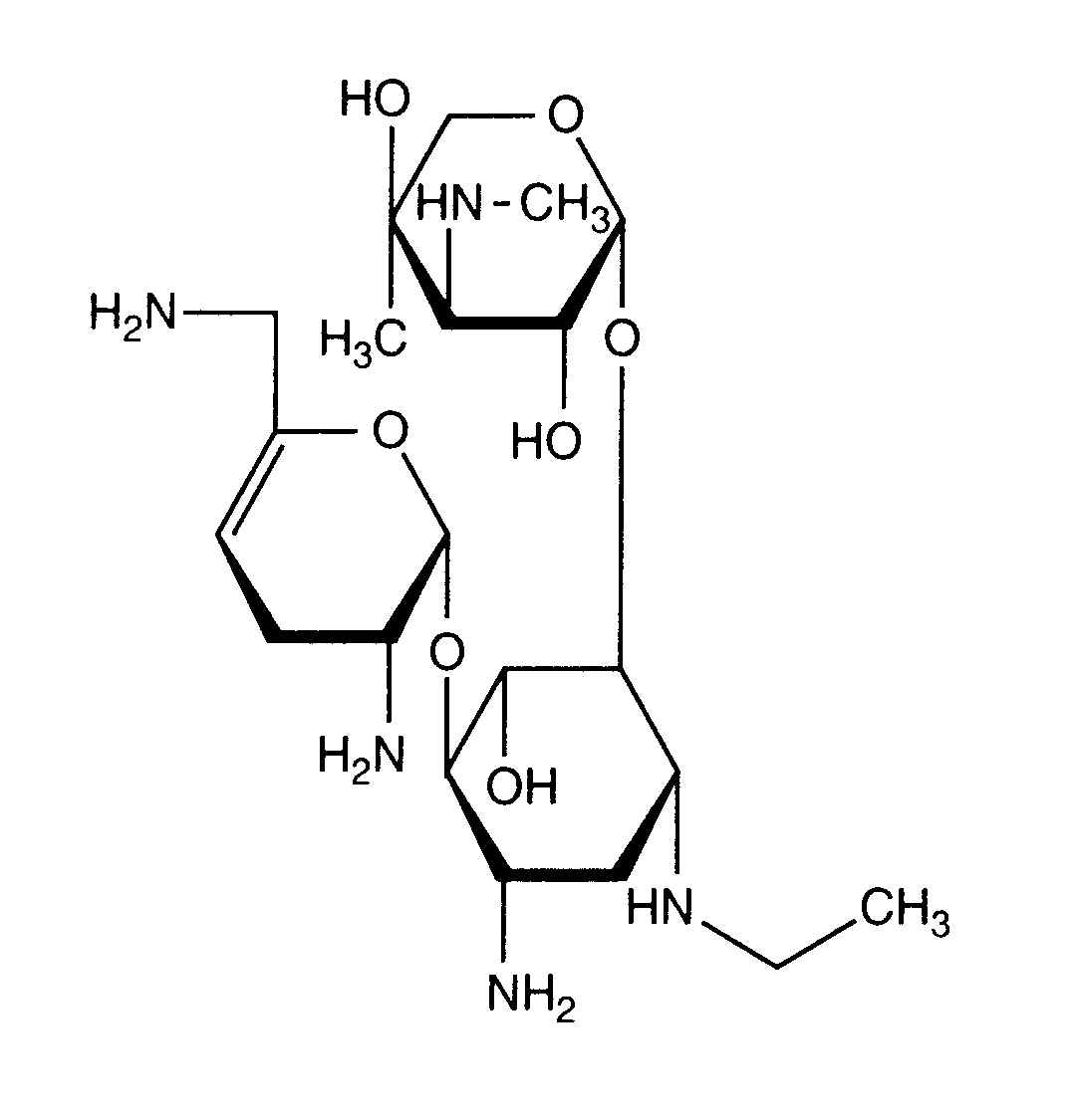
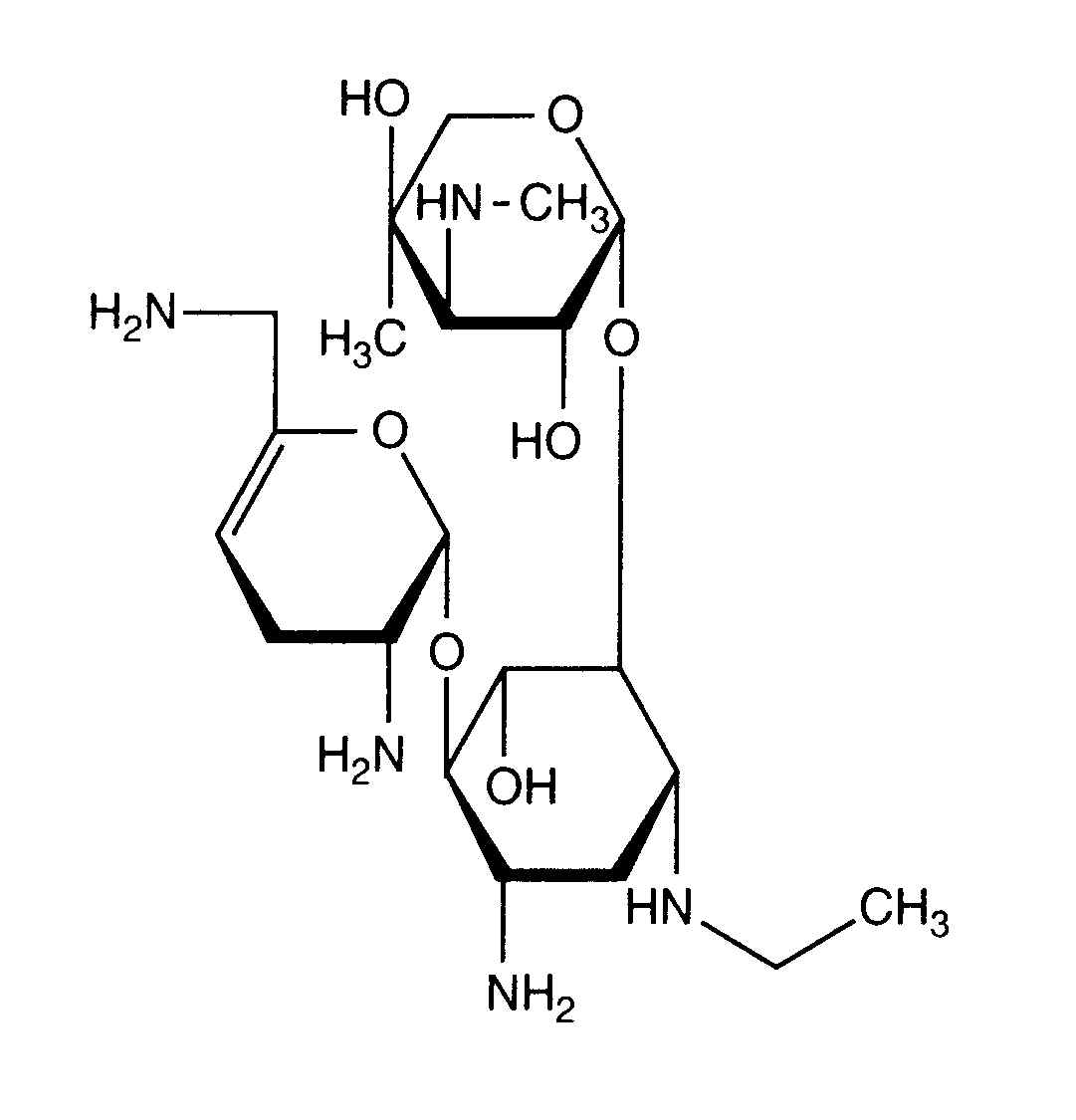
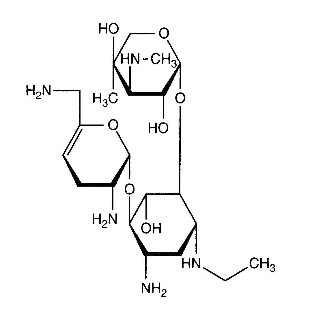
   化学構造  

商品名   商品名     

商品名、賦形剤は国、製薬会社ごとに異なることがあります

Bactob インド
Beltob インド
Bramicil イタリア
Brulamycin ハンガリー
Eltol インド
Fytobra インド
Gernebcin ドイツ
Komitub インド
Nebcin アラブ首長国連邦, アーストラリア, イギリス, エジプト, ギリシア, サウジアラビア, ニュージーランド
Nebcina スウェーデン, デンマーク, ノルウェー, モロッコ
Nebcine モロッコ
Nebicina イタリア
Netilyn スウェーデン, フィンランド
Netromicina ポルトガル
Netromicine フランス
Netromycine ギリシア, トルコ, ポーランド, ロシア
Nettacin イタリア
Obracin オランダ, スイス, ベルギー, ルクセンブルグ
Tobra ドイツ
Tobra Alex エジプト
Tobra Day ニュージーランド
Tobra Gobens スペイン
Tobracin エジプト
Tobradistin スペイン
Tobramicina イタリア, スペイン, ベネズエラ, ポルトガル
Tobramina ブラジル
Tobramycin アイルランド, アメリカ, アーストラリア, イギリス, カナダ, サウジアラビア, ドイツ, ノルウェー
Tobramycine アイルランド, オランダ, フランス
Tobrasix オーストリア
Tobrazid ドイツ
Tomycin フィンランド
Zetamicin イタリア
混合時の安定性   注射薬   混合時の安定性 : Netilmicin sulfate     
容器 溶媒 濃度 化合物 温度 保管 安定期間 引用文献
ガラス NaCl 0,9% 3 mg/ml
注射薬   Netilmicin sulfate   
注射薬   Clindamycin phosphate 9 mg/ml
24°C
24 時間
光 421
Joker
ガラス グルコース5% 3 mg/ml
注射薬   Netilmicin sulfate   
注射薬   Clindamycin phosphate 9 mg/ml
24°C
24 時間
光 421
Joker
ポリ塩化ビニル(PVC) NaCl 0,9% 3 mg/ml
注射薬   Netilmicin sulfate   
注射薬   Clindamycin phosphate 9 mg/ml
24°C
24 時間
光 421
Joker
ポリ塩化ビニル(PVC) グルコース5% 3 mg/ml
注射薬   Netilmicin sulfate   
注射薬   Clindamycin phosphate 9 mg/ml
24°C
24 時間
光 421
Joker

  Mentions Légales