Viimeisin päivitys :
27/04/2026
Antibiootit   Netilmicin sulfate  
Injektioneste
Aerosoli
Stabilius liuoksessa Stabilius seoksissa Tekijät, jotka vaikuttavat stabiliuteen Yhteensopivuus Antotapa Viitteet pdf
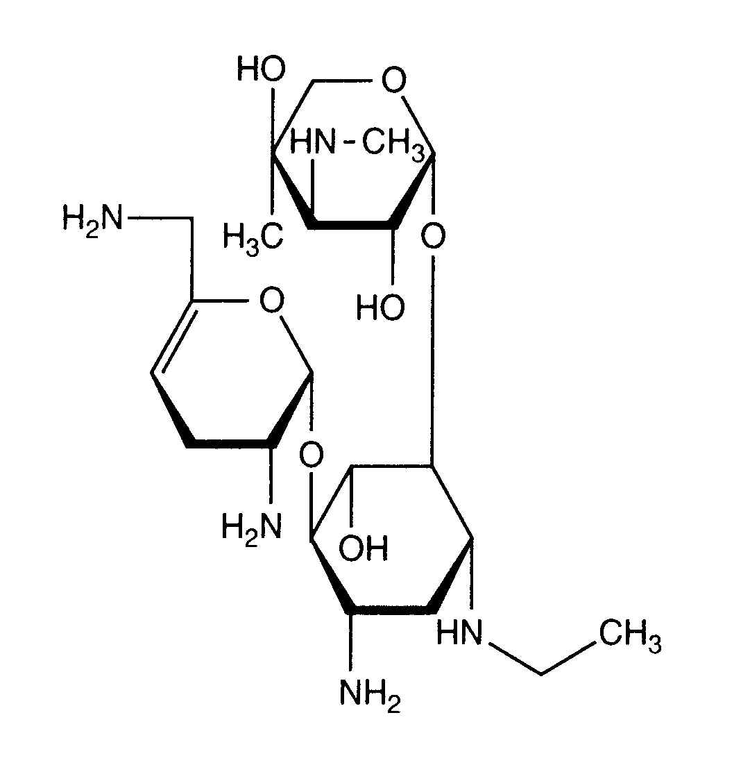
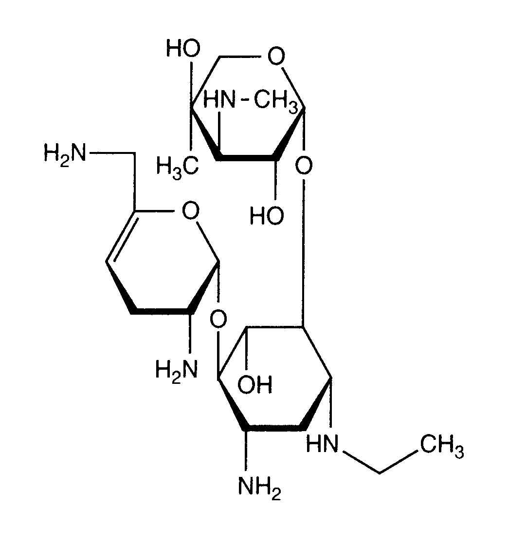
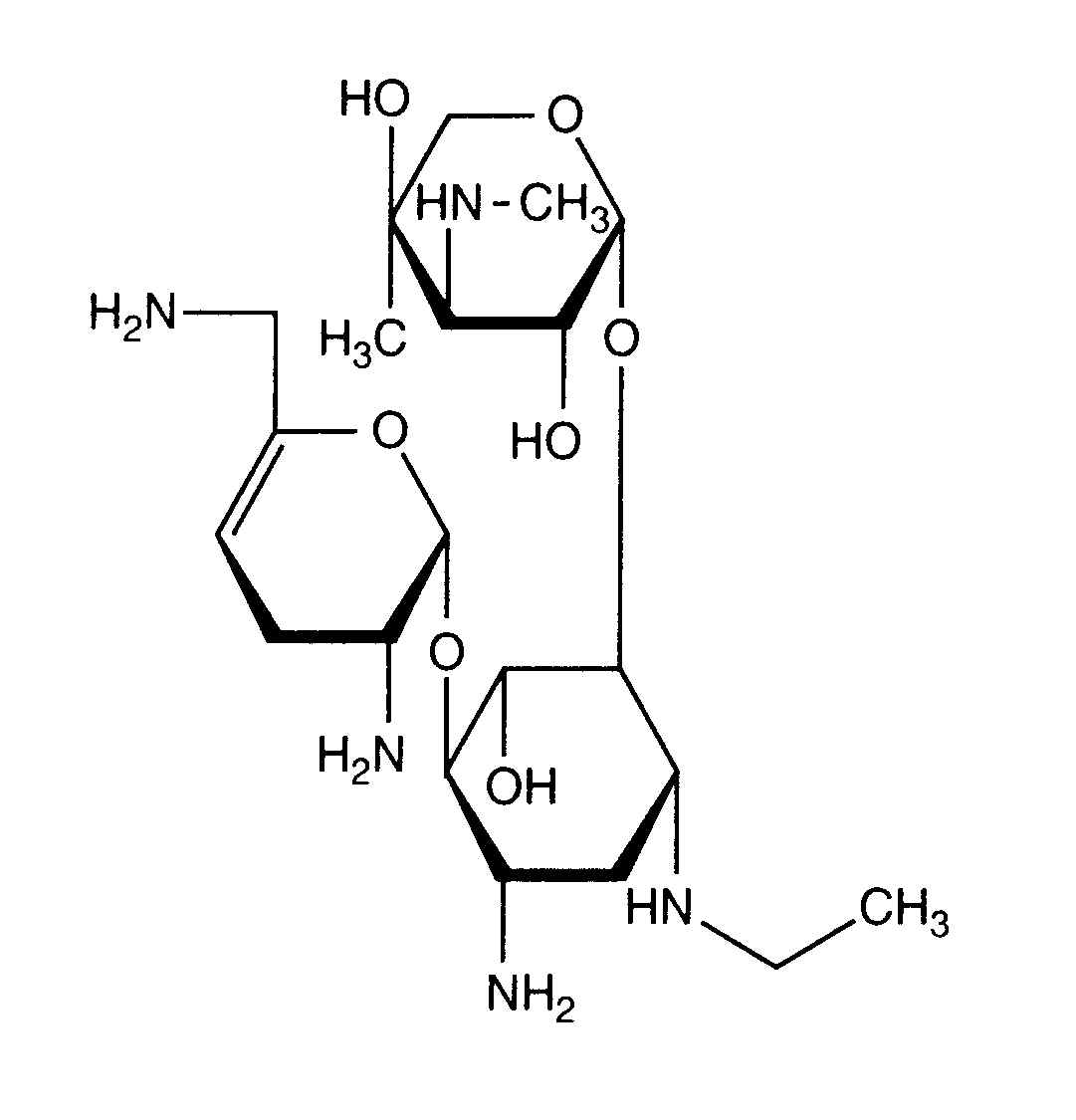
   Kemiallinen rakenne  

Kauppanimi   Kauppanimi     

Trade names are indicative and excipients composition can be different depending on the country and manufacturers

Bactob Intia
Beltob Intia
Bramicil Italia
Brulamycin Unkari
Eltol Intia
Fytobra Intia
Gernebcin Saksa
Komitub Intia
Nebcin Australia, Egypti, Iso-Britannia, Kreikka, New Zealand, Saudi-Arabia, Yhdistyneet arabiemiirikunnat
Nebcina Marokko, Norja, Ruotsi, Tanska
Nebcine Marokko
Nebicina Italia
Netilyn Ruotsi, Suomi
Netromicina Portugali
Netromicine Ranska
Netromycine Kreikka, Puola, Turkki, venäjä
Nettacin Italia
Obracin Belgia, Hollanti, Luxemburg, Sveitsi
Tobra Saksa
Tobra Alex Egypti
Tobra Day New Zealand
Tobra Gobens Espanja
Tobracin Egypti
Tobradistin Espanja
Tobramicina Espanja, Italia, Portugali, Venezuela
Tobramina Brasilia
Tobramycin Australia, Irlanti, Iso-Britannia, Kanada, Norja, Saksa, Saudi-Arabia, Yhdysvallat
Tobramycine Hollanti, Irlanti, Ranska
Tobrasix Itävalta
Tobrazid Saksa
Tomycin Suomi
Zetamicin Italia
Stabilius seoksissa   Injektioneste   Stabilius seoksissa : Netilmicin sulfate     
Astia Liuotin Konsentraatio Yhdiste Lämpötila Säilytys Vakauden kesto Viitteet
Lasi Natriumkloridi 0,9% 3 mg/ml
Injektioneste   Netilmicin sulfate   
Injektioneste   Clindamycin phosphate 9 mg/ml
24°C
24 tunti
Valo 421
Jokeri
Lasi Glukoosi 5% 3 mg/ml
Injektioneste   Netilmicin sulfate   
Injektioneste   Clindamycin phosphate 9 mg/ml
24°C
24 tunti
Valo 421
Jokeri
Polyvinyylikloridi Natriumkloridi 0,9% 3 mg/ml
Injektioneste   Netilmicin sulfate   
Injektioneste   Clindamycin phosphate 9 mg/ml
24°C
24 tunti
Valo 421
Jokeri
Polyvinyylikloridi Glukoosi 5% 3 mg/ml
Injektioneste   Netilmicin sulfate   
Injektioneste   Clindamycin phosphate 9 mg/ml
24°C
24 tunti
Valo 421
Jokeri

  Mentions Légales