Ultimo aggiornamento :
27/04/2026
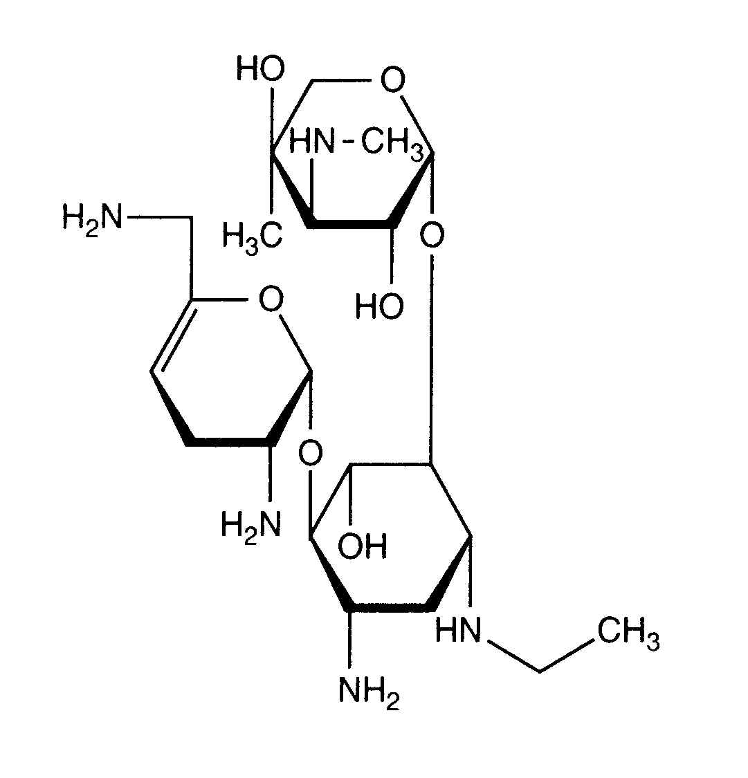
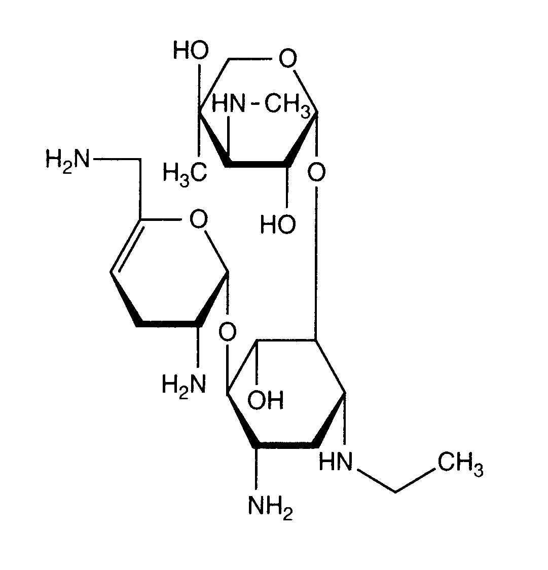
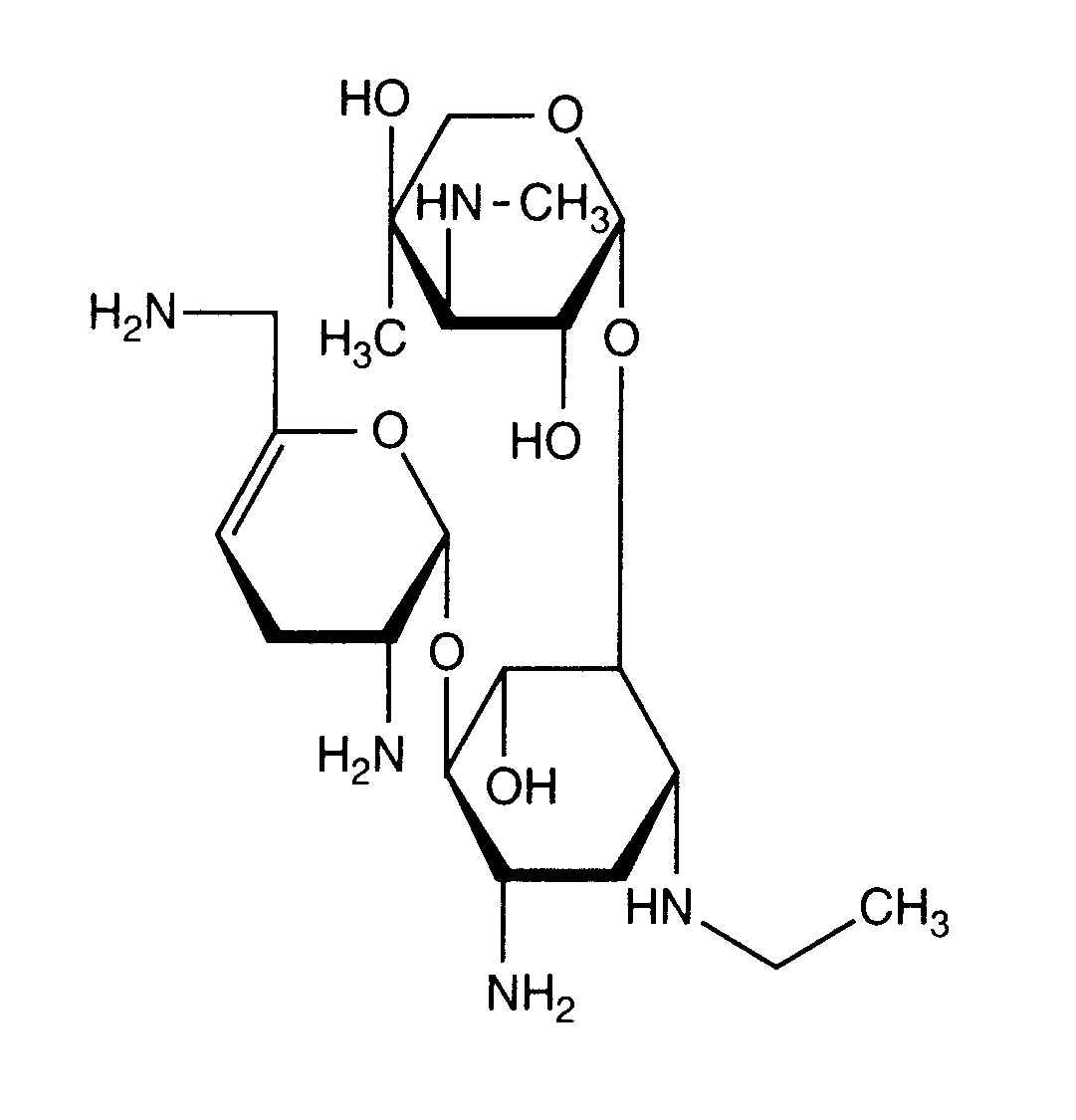
Antibiotico   Netilmicin sulfate  
Iniezione
Aerosol
Stabilità in soluzione Stabilità in miscela Fattori che influenzano la stabilità Compatibilità metodo di iniezione Bibliografia pdf
   Struttura chimica  

Nome commerciale   Nome commerciale     

Trade names are indicative and excipients composition can be different depending on the country and manufacturers

Bactob India
Beltob India
Bramicil Italia
Brulamycin Ungheria
Eltol India
Fytobra India
Gernebcin Germania
Komitub India
Nebcin Arabia Saudita, Australia, Egitto, Emirati Arabi Uniti, Gran Bretagna, Grecia, nuova Zelanda
Nebcina Danimarca, Marocco, Norvegia, Svezia
Nebcine Marocco
Nebicina Italia
Netilyn Finlandia, Svezia
Netromicina Portogallo
Netromicine Francia
Netromycine Grecia, Polonia, russo, Turchia
Nettacin Italia
Obracin Belgio, Lussemburgo, Paesi Bassi, Svizzera
Tobra Germania
Tobra Alex Egitto
Tobra Day nuova Zelanda
Tobra Gobens Spagna
Tobracin Egitto
Tobradistin Spagna
Tobramicina Italia, Portogallo, Spagna, Venezuela
Tobramina Brasile
Tobramycin Arabia Saudita, Australia, Canada, Germania, Gran Bretagna, Irlanda, Norvegia, Stati Uniti d’America
Tobramycine Francia, Irlanda, Paesi Bassi
Tobrasix Austria
Tobrazid Germania
Tomycin Finlandia
Zetamicin Italia
Stabilità in miscela   Iniezione   Stabilità in miscela : Netilmicin sulfate     
contenitore Solvente Concentrazione Molecola Temperatura Conservazione Durata della stabilità Bibliografia
Vetro Cloruro di sodio 0,9% 3 mg/ml
Iniezione   Netilmicin sulfate   
Iniezione   Clindamycin phosphate 9 mg/ml
24°C
24 Ora
Luce 421
Joker
Vetro Glucosio 5% 3 mg/ml
Iniezione   Netilmicin sulfate   
Iniezione   Clindamycin phosphate 9 mg/ml
24°C
24 Ora
Luce 421
Joker
Cloruro di polivinile Cloruro di sodio 0,9% 3 mg/ml
Iniezione   Netilmicin sulfate   
Iniezione   Clindamycin phosphate 9 mg/ml
24°C
24 Ora
Luce 421
Joker
Cloruro di polivinile Glucosio 5% 3 mg/ml
Iniezione   Netilmicin sulfate   
Iniezione   Clindamycin phosphate 9 mg/ml
24°C
24 Ora
Luce 421
Joker

  Mentions Légales