Poslední aktualizace :
27/04/2026
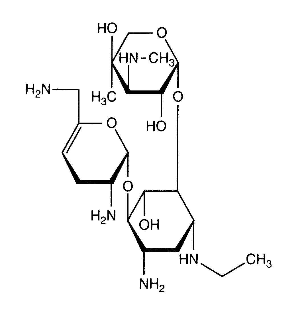
Antibiotikum   Netilmicin sulfate  
injekce
Aerosol
Stabilita roztoků Stabilita směsí Faktory ovlivňující stabilitu Kompatibilita Způsoby aplikace Odkazy pdf
   Chemický vzorec  

Obchodní název   Obchodní název     

Trade names are indicative and excipients composition can be different depending on the country and manufacturers

Bactob Indie
Beltob Indie
Bramicil Itálie
Brulamycin MaÔarsko
Eltol Indie
Fytobra Indie
Gernebcin NÏmecko
Komitub Indie
Nebcin Austrálie, Egypt, nový Zéland, Saúdská Arábie, Spojené arabské emiráty, Velká Británie, ÿecko
Nebcina Dánsko, Maroko, Norsko, Švédsko
Nebcine Maroko
Nebicina Itálie
Netilyn Finsko, Švédsko
Netromicina Portugalsko
Netromicine Francie
Netromycine Polsko, rusky, Turecko, ÿecko
Nettacin Itálie
Obracin Belgie, Lucembursko, Nizozemsko, Švýcarsko
Tobra NÏmecko
Tobra Alex Egypt
Tobra Day nový Zéland
Tobra Gobens äpanÏlsko
Tobracin Egypt
Tobradistin äpanÏlsko
Tobramicina äpanÏlsko, Itálie, Portugalsko, Venezuela
Tobramina BrazÌlie
Tobramycin Austrálie, Irsko, Kanada, NÏmecko, Norsko, Saúdská Arábie, USA, Velká Británie
Tobramycine Francie, Irsko, Nizozemsko
Tobrasix Rakousko
Tobrazid NÏmecko
Tomycin Finsko
Zetamicin Itálie
Stabilita směsí   injekce   Stabilita směsí : Netilmicin sulfate     
Obal RozpouötÏdlo Koncentrace SlouËenina Teplota Uchovávání Trvání stability Odkazy
Sklo Chlorid sodný 0,9% 3 mg/ml
injekce   Netilmicin sulfate   
injekce   Clindamycin phosphate 9 mg/ml
24°C
24 Hodina
SvÏtlo 421
JOKER
Sklo GlukÛza 5% 3 mg/ml
injekce   Netilmicin sulfate   
injekce   Clindamycin phosphate 9 mg/ml
24°C
24 Hodina
SvÏtlo 421
JOKER
Polyvinyl chlorid Chlorid sodný 0,9% 3 mg/ml
injekce   Netilmicin sulfate   
injekce   Clindamycin phosphate 9 mg/ml
24°C
24 Hodina
SvÏtlo 421
JOKER
Polyvinyl chlorid GlukÛza 5% 3 mg/ml
injekce   Netilmicin sulfate   
injekce   Clindamycin phosphate 9 mg/ml
24°C
24 Hodina
SvÏtlo 421
JOKER

  Mentions Légales