Ultimele actualizari :
27/04/2026
Antibiotic   Netilmicin sulfate  
Injectabil
Aerosol
Stabilitatea in solutie Stabilitatea in amestec Factorii care influenteaza stabilitatea Compatibilitate Microunde Bibliografie pdf
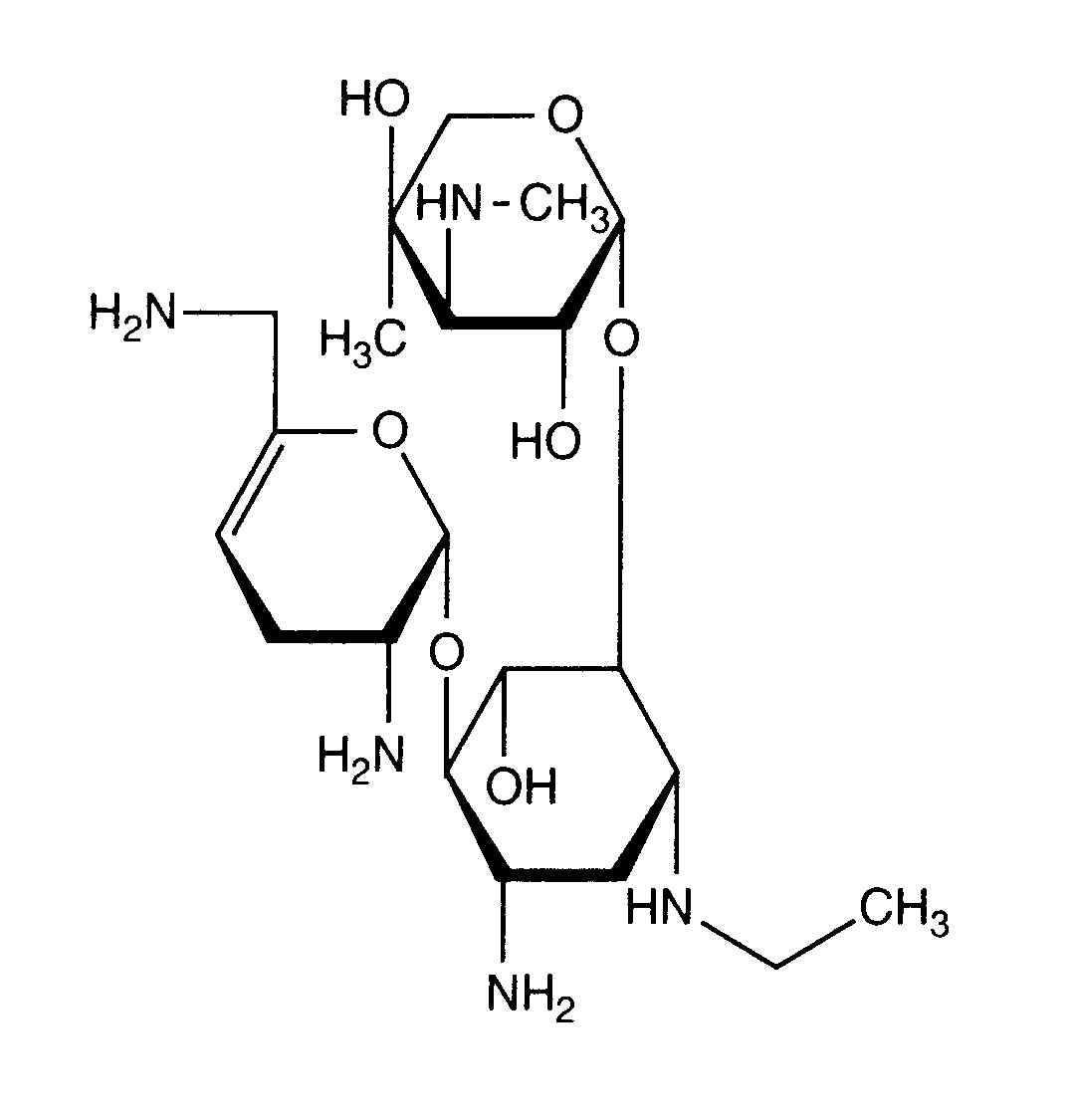
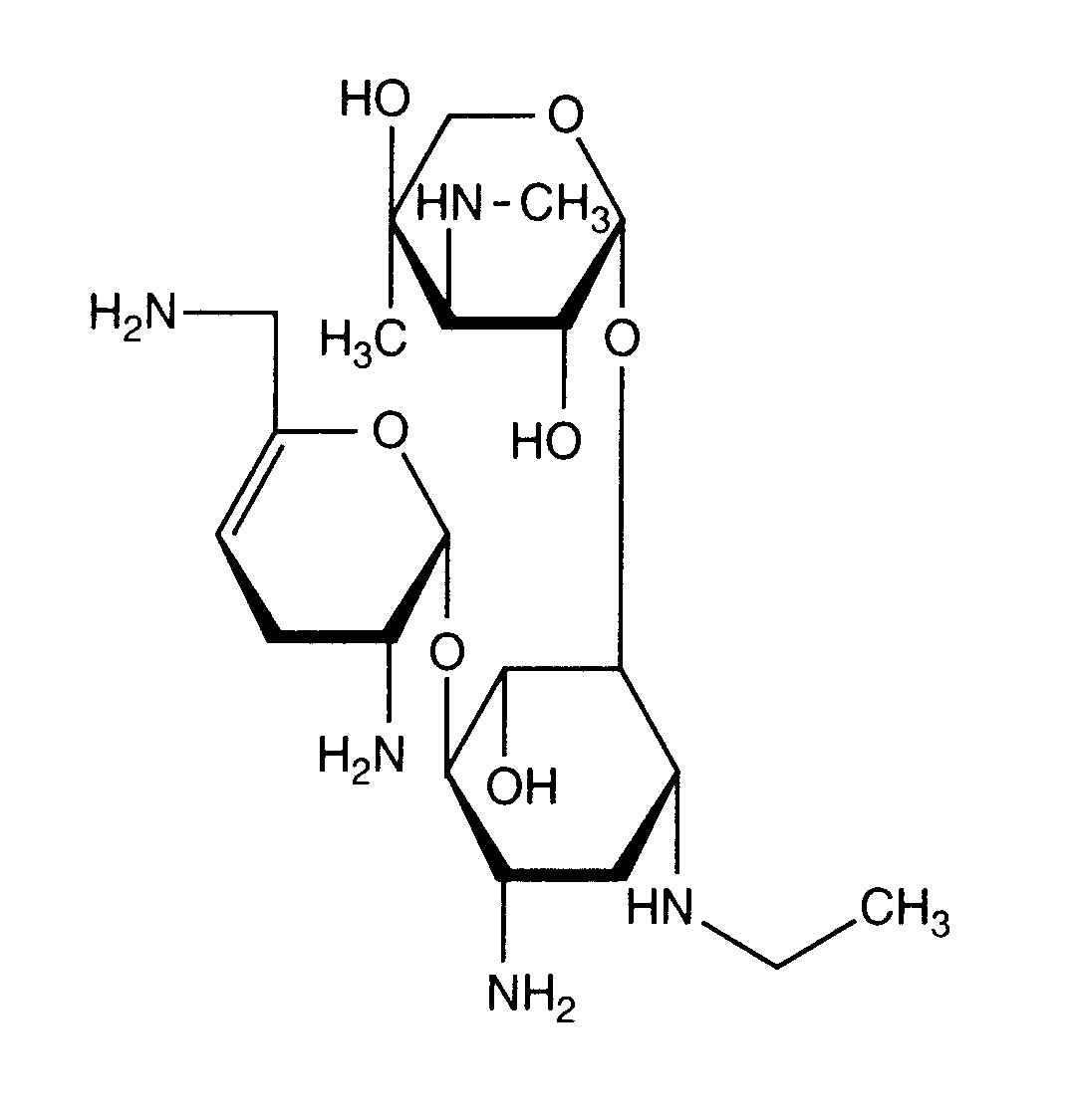
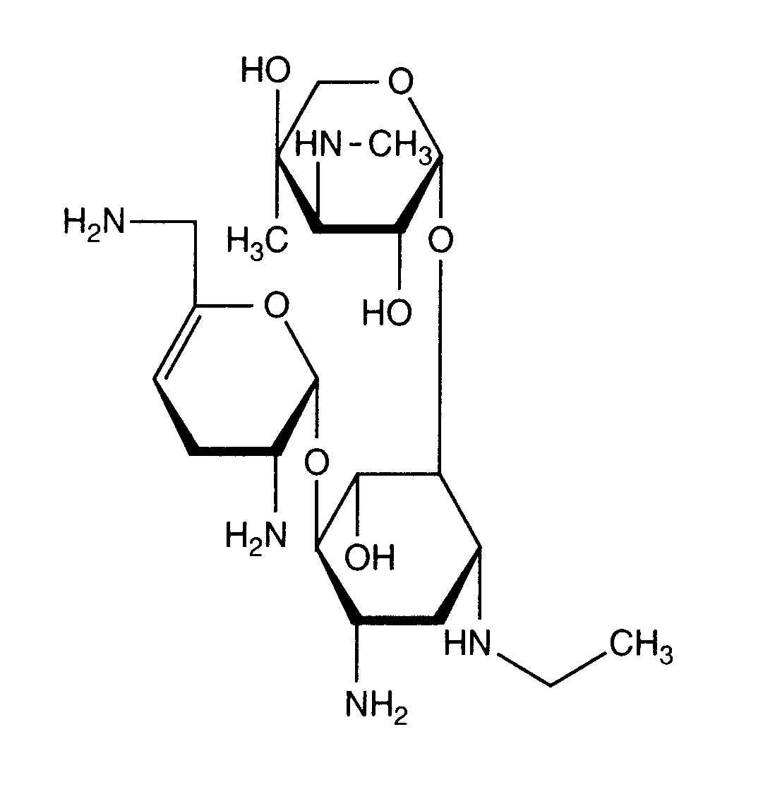
   Formula chimica  

Denumirea comerciala   Denumirea comerciala     

Trade names are indicative and excipients composition can be different depending on the country and manufacturers

Bactob India
Beltob India
Bramicil Italia
Brulamycin Ungaria
Eltol India
Fytobra India
Gernebcin Germania
Komitub India
Nebcin Arabia Saudita, Australia, Egipt, Emiratele Arabe Unite, Grecia, Marea Britanie, noua Zeelandă
Nebcina Danemarca, Maroc, Norvegia, Suedia
Nebcine Maroc
Nebicina Italia
Netilyn Finlanda, Suedia
Netromicina Portugalia
Netromicine Franta
Netromycine Grecia, Polonia, rusa, Turcia
Nettacin Italia
Obracin Belgia, Elvetia, Luxemburg, Olanda
Tobra Germania
Tobra Alex Egipt
Tobra Day noua Zeelandă
Tobra Gobens Spania
Tobracin Egipt
Tobradistin Spania
Tobramicina Italia, Portugalia, Spania, Venezuela
Tobramina Brazilia
Tobramycin Arabia Saudita, Australia, Canada, Germania, Irlanda, Marea Britanie, Norvegia, SUA
Tobramycine Franta, Irlanda, Olanda
Tobrasix Austria
Tobrazid Germania
Tomycin Finlanda
Zetamicin Italia
Stabilitatea in amestec   Injectabil   Stabilitatea in amestec : Netilmicin sulfate     
Continut Solvent Concentratie Molecula (substanta activa) Temperatura Conservare Durata stabilității Bibiografie
sticla clorura de sodiu 0,9% 3 mg/ml
Injectabil   Netilmicin sulfate   
Injectabil   Clindamycin phosphate 9 mg/ml
24°C
24 Ora
Lumina 421
Joker
sticla Glucoza 5% 3 mg/ml
Injectabil   Netilmicin sulfate   
Injectabil   Clindamycin phosphate 9 mg/ml
24°C
24 Ora
Lumina 421
Joker
clorura de polivinil clorura de sodiu 0,9% 3 mg/ml
Injectabil   Netilmicin sulfate   
Injectabil   Clindamycin phosphate 9 mg/ml
24°C
24 Ora
Lumina 421
Joker
clorura de polivinil Glucoza 5% 3 mg/ml
Injectabil   Netilmicin sulfate   
Injectabil   Clindamycin phosphate 9 mg/ml
24°C
24 Ora
Lumina 421
Joker

  Mentions Légales