Dernière mise à jour :
27/04/2026
Antibiotique   Netilmicin sulfate  
injectable
Aérosol
Stabilité des solutions Stabilité en mélange Facteur influençant la stabilité Compatibilités Voie d’administration Bibliographie pdf
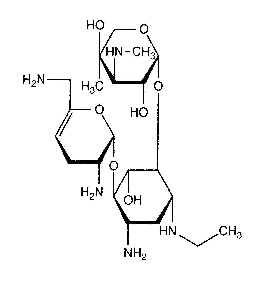
   Structure chimique  

Noms commerciaux   Noms commerciaux     

Les noms commerciaux sont donnés à titre indicatif et la composition en excipients peut être différente selon les pays et selon les laboratoires

Bactob Inde
Beltob Inde
Bramicil Italie
Brulamycin Hongrie
Eltol Inde
Fytobra Inde
Gernebcin Allemagne
Komitub Inde
Nebcin Arabie Saoudite, Australie, Egypte, Emirats Arabes Unis , Grande Bretagne, Grèce, Nouvelle Zélande
Nebcina Danemark, Maroc, Norvège, Suède
Nebcine Maroc
Nebicina Italie
Netilyn Finlande, Suède
Netromicina Portugal
Netromicine France
Netromycine Grèce, Pologne, Russie, Turquie
Nettacin Italie
Obracin Belgique, Luxembourg, Pays bas, Suisse
Tobra Allemagne
Tobra Alex Egypte
Tobra Day Nouvelle Zélande
Tobra Gobens Espagne
Tobracin Egypte
Tobradistin Espagne
Tobramicina Espagne, Italie, Portugal, Vénézuela
Tobramina Brésil
Tobramycin Allemagne, Arabie Saoudite, Australie, Canada, Etats Unis d’Amérique, Grande Bretagne, Irlande, Norvège
Tobramycine France, Irlande, Pays bas
Tobrasix Autriche
Tobrazid Allemagne
Tomycin Finlande
Zetamicin Italie
Stabilité en mélange   injectable   Stabilité en mélange : Netilmicin sulfate     
Contenant Solvant Concentration Molécule Température Conservation Durée de stabilité Bibliographie
Verre Chlorure de sodium 0,9% 3 mg/ml
injectable   Netilmicin sulfate   
injectable   Clindamycin phosphate 9 mg/ml
24°C
24 Heure
Lumière 421
JOKER
Verre Glucose 5% 3 mg/ml
injectable   Netilmicin sulfate   
injectable   Clindamycin phosphate 9 mg/ml
24°C
24 Heure
Lumière 421
JOKER
Polyvinyl chlorure Chlorure de sodium 0,9% 3 mg/ml
injectable   Netilmicin sulfate   
injectable   Clindamycin phosphate 9 mg/ml
24°C
24 Heure
Lumière 421
JOKER
Polyvinyl chlorure Glucose 5% 3 mg/ml
injectable   Netilmicin sulfate   
injectable   Clindamycin phosphate 9 mg/ml
24°C
24 Heure
Lumière 421
JOKER

  Mentions Légales