zadnja posodobitev :
27/04/2026
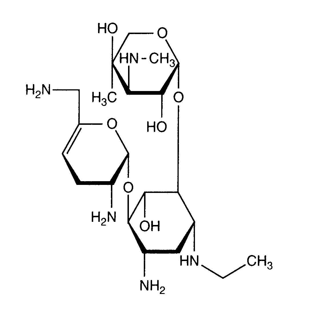
Antibiotik   Netilmicin sulfate  
Brizgalka
Aerosol
Stabilnost raztopine Stabilnost mešanice Faktorji, ki vplivajo na stabilnost Kompatibilnost način aplikacije Viri pdf
   Kemična formula  

Lastniško ime   Lastniško ime     

Sestava pomožnih snovi je med paralelami lahko različna

Bactob Indija
Beltob Indija
Bramicil Italija
Brulamycin Madžarska
Eltol Indija
Fytobra Indija
Gernebcin Nemčija
Komitub Indija
Nebcin Avstralija, Egipt, Grčija, nova Zelandija, Savdska Arabija, Velika Britanija, Združeni arabski emirati
Nebcina Danska, Maroko, Norveška, Švedska
Nebcine Maroko
Nebicina Italija
Netilyn Finska, Švedska
Netromicina Portugalska
Netromicine Francija
Netromycine Grčija, Poljska, ruščina, Turčija
Nettacin Italija
Obracin Belgija, Luksemburg, Nizozemska, Švica
Tobra Nemčija
Tobra Alex Egipt
Tobra Day nova Zelandija
Tobra Gobens Španija
Tobracin Egipt
Tobradistin Španija
Tobramicina Italija, Portugalska, Španija, Venezuela
Tobramina Brazilija
Tobramycin Avstralija, Irska, Kanada, Nemčija, Norveška, Savdska Arabija, Velika Britanija, Združene države Amerike
Tobramycine Francija, Irska, Nizozemska
Tobrasix Avstrija
Tobrazid Nemčija
Tomycin Finska
Zetamicin Italija
Stabilnost mešanice   Brizgalka   Stabilnost mešanice : Netilmicin sulfate     
Vsebnik Topilo Koncentracija Sestava Temperatura Shranjevanje Trajanje stabilnosti Viri
Steklo Natrijev klorid 0,9% 3 mg/ml
Brizgalka   Netilmicin sulfate   
Brizgalka   Clindamycin phosphate 9 mg/ml
24°C
24 čas
Svetloba 421
Joker
Steklo Glukoza 5% 3 mg/ml
Brizgalka   Netilmicin sulfate   
Brizgalka   Clindamycin phosphate 9 mg/ml
24°C
24 čas
Svetloba 421
Joker
Polivinil klorid Natrijev klorid 0,9% 3 mg/ml
Brizgalka   Netilmicin sulfate   
Brizgalka   Clindamycin phosphate 9 mg/ml
24°C
24 čas
Svetloba 421
Joker
Polivinil klorid Glukoza 5% 3 mg/ml
Brizgalka   Netilmicin sulfate   
Brizgalka   Clindamycin phosphate 9 mg/ml
24°C
24 čas
Svetloba 421
Joker

  Mentions Légales