Last update :
27/04/2026
Antibiotic   Netilmicin sulfate  
injection
aerosol
Stability in solutions Stability of mixtures Factors which affect stability Compatibility Route of administration References pdf
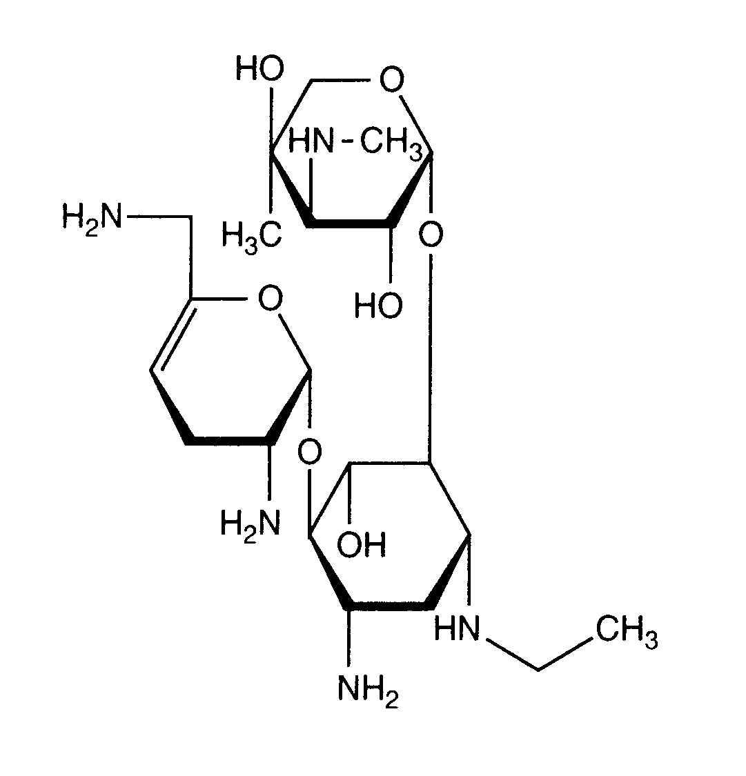
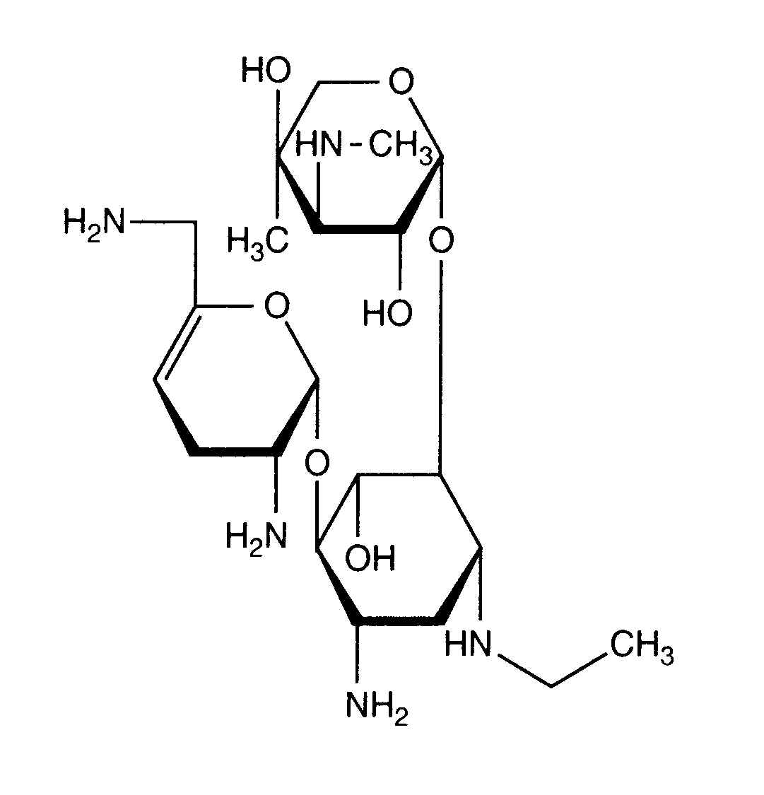
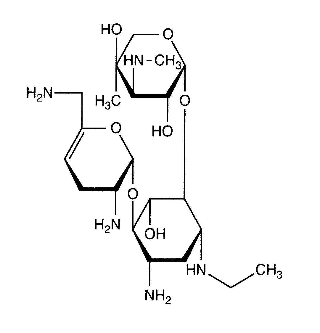
   Chemical structure  

Tradename   Tradename     

Trade names are indicative and excipients composition can be different depending on the country and manufacturers

Bactob India
Beltob India
Bramicil Italy
Brulamycin Hungary
Eltol India
Fytobra India
Gernebcin Germany
Komitub India
Nebcin Australia, Egypt, Great Britain, Greece, New Zealand, Saudi Arabia, United Arab Emirates
Nebcina Denmark, Morocco, Norway, Sweden
Nebcine Morocco
Nebicina Italy
Netilyn Finland, Sweden
Netromicina Portugal
Netromicine France
Netromycine Greece, Poland, russian, Turkey
Nettacin Italy
Obracin Belgium, Luxembourg, Netherlands, Switzerland
Tobra Germany
Tobra Alex Egypt
Tobra Day New Zealand
Tobra Gobens Spain
Tobracin Egypt
Tobradistin Spain
Tobramicina Italy, Portugal, Spain, Venezuela
Tobramina Brazil
Tobramycin Australia, Canada, Germany, Great Britain, Ireland, Norway, Saudi Arabia, United States of America
Tobramycine France, Ireland, Netherlands
Tobrasix Austria
Tobrazid Germany
Tomycin Finland
Zetamicin Italy
Stability of mixtures   injection   Stability of mixtures : Netilmicin sulfate     
Container Solvent Concentration Compound Temperature Storage Duration of stability References
Glass Sodium chloride 0,9% 3 mg/ml
injection   Netilmicin sulfate   
injection   Clindamycin phosphate 9 mg/ml
24°C
24 Hour
Light 421
Joker
Glass Glucose 5% 3 mg/ml
injection   Netilmicin sulfate   
injection   Clindamycin phosphate 9 mg/ml
24°C
24 Hour
Light 421
Joker
Polyvinyl chloride Sodium chloride 0,9% 3 mg/ml
injection   Netilmicin sulfate   
injection   Clindamycin phosphate 9 mg/ml
24°C
24 Hour
Light 421
Joker
Polyvinyl chloride Glucose 5% 3 mg/ml
injection   Netilmicin sulfate   
injection   Clindamycin phosphate 9 mg/ml
24°C
24 Hour
Light 421
Joker

  Mentions Légales