Останнє оновлення :
31/03/2026
Антибіотик   Minocycline hydrochloride  
ін'єкція
Розчин для перорального застосування
Стійкість в розчинах Стійкість сумішей Фактори, що впливають на стабільність Сумісність Шлях введення Список літератури pdf
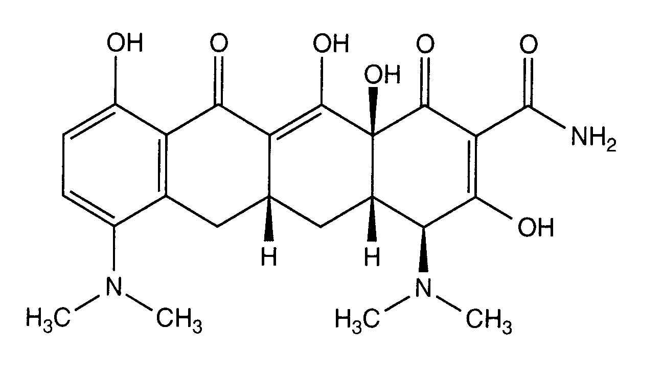
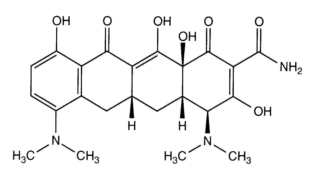
   Хімічна структура  

Торгова назва   Торгова назва     

Торгові назви є орієнтовними, а склад допоміжних речовин може бути різним залежно від країни та виробника

Minocin Сполучені Штати Америки
Шлях введення   Шлях введення :Minocycline hydrochloride     
Маршрут
Внутрішньовенне вливання
Внутрішньом'язове

  Mentions Légales