Utolsó frissítés :
31/03/2026
Antibiotikum   Minocycline hydrochloride  
Injekció
belsőleges oldat
Az oldatok stabilitása A keverékek stabilitása Stabilitást befolyásoló tényezők Kompatibilitás Az alkalmazás módja Irodalom pdf
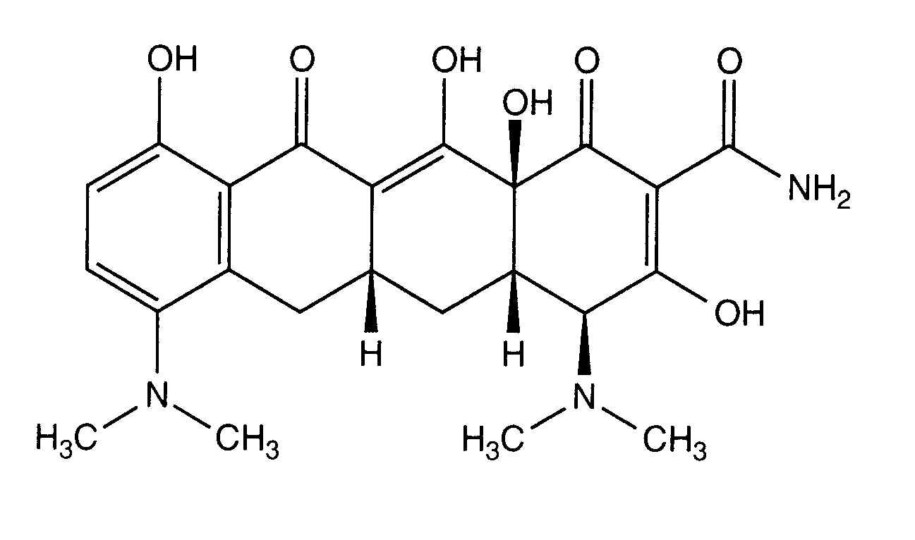
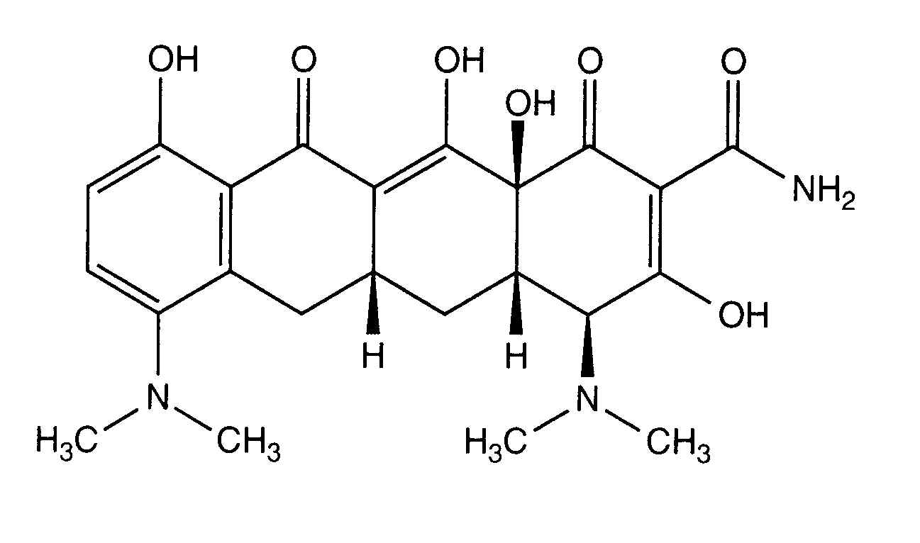
   Kémiai szerkezet   

Kereskedelmi név   Kereskedelmi név     

A kereskedelmi név meghatározó jelentőségű: a készítmények összetétele országonként, előállítóként eltérő lehet

Minocin Amerikai Egyesült Államok
Az alkalmazás módja   Az alkalmazás módja :Minocycline hydrochloride     
Voie
Intravénás infúzió
Intramuszkuláris

  Mentions Légales