zadnja posodobitev :
31/03/2026
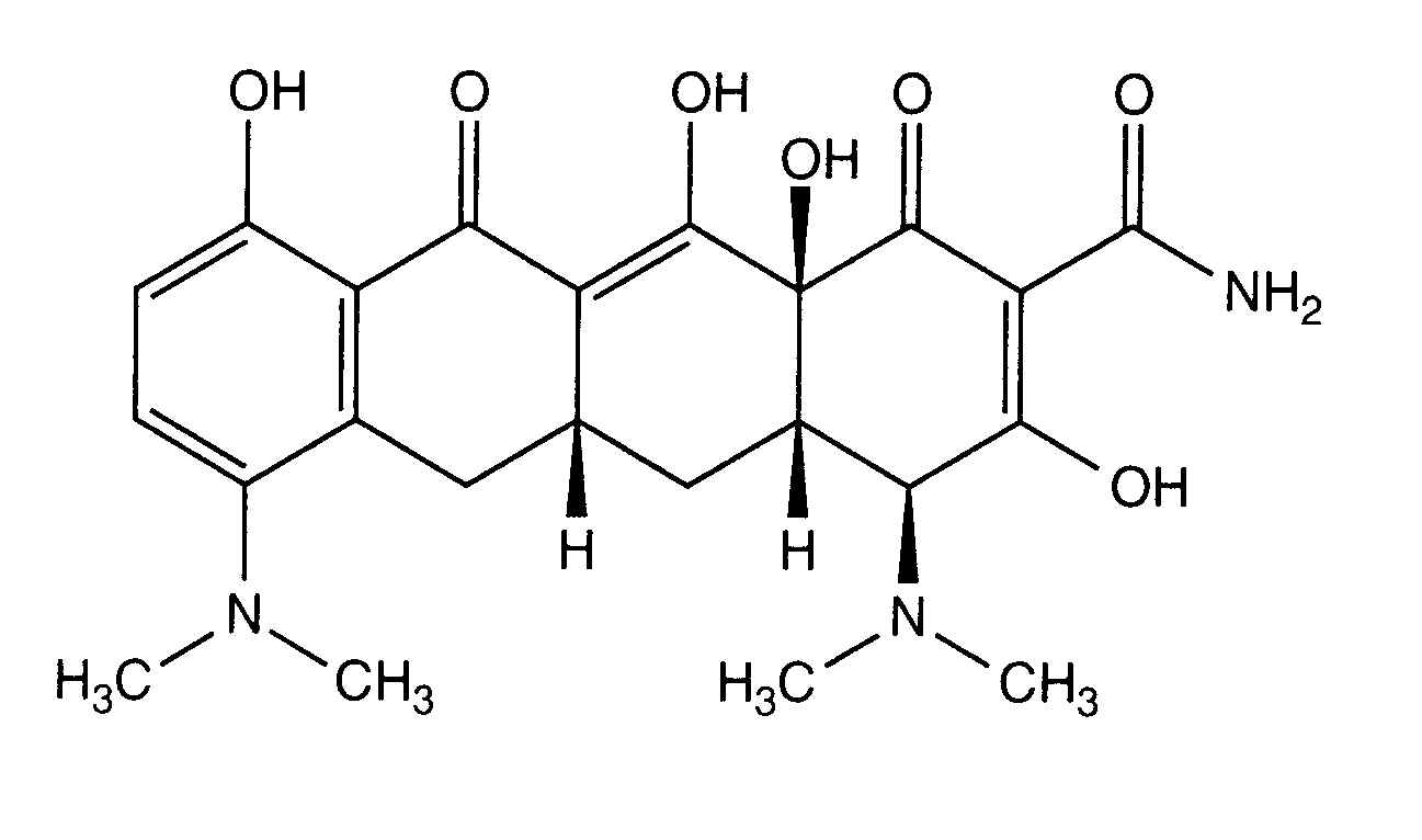
Antibiotik   Minocycline hydrochloride  
Brizgalka
Peroralna raztopina
Stabilnost raztopine Stabilnost mešanice Faktorji, ki vplivajo na stabilnost Kompatibilnost način aplikacije Viri pdf
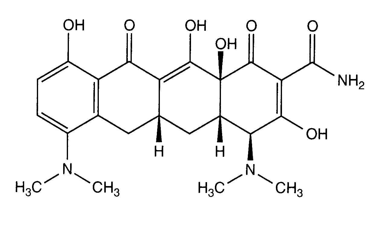
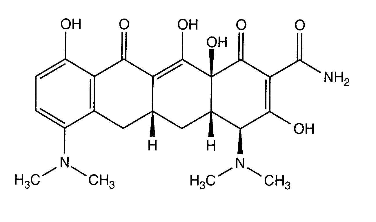
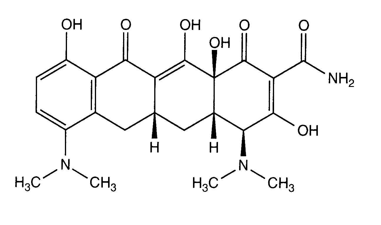
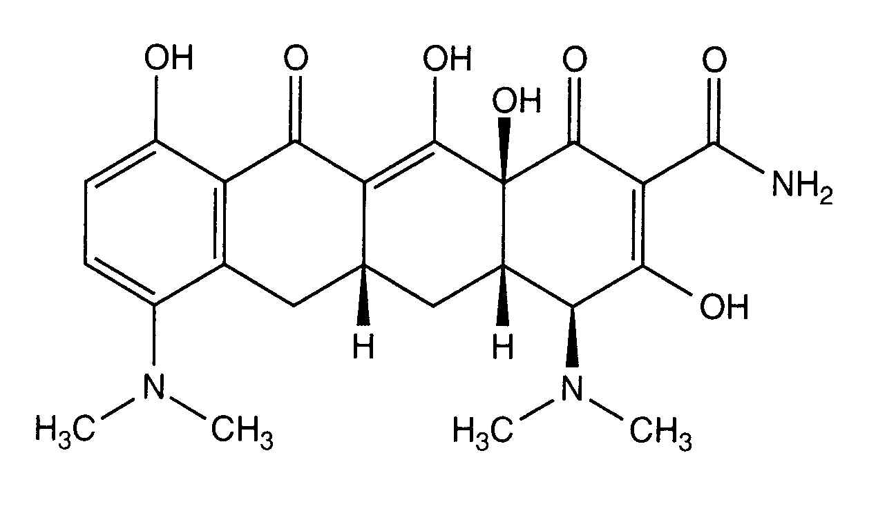
   Kemična formula  

Lastniško ime   Lastniško ime     

Sestava pomožnih snovi je med paralelami lahko različna

Minocin Združene države Amerike
način aplikacije   način aplikacije :Minocycline hydrochloride     
Voie
Intravenska infuzija
Intramuskularno

  Mentions Légales