Letztes “update” :
31/03/2026
Antibiotikum   Minocycline hydrochloride  
Injektion
Lösung zum Einnehmen
Stabilität der Lösung Gemengestabilität Stabilitätbeeinflussende Faktoren Kompatibilitäten Applikationsart Literaturverzeichnis pdf
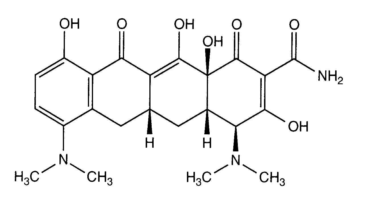
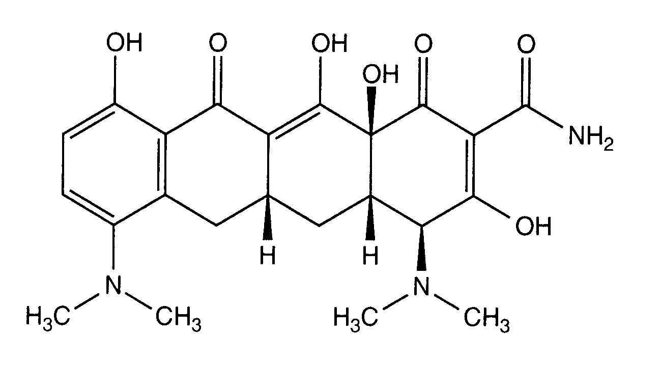
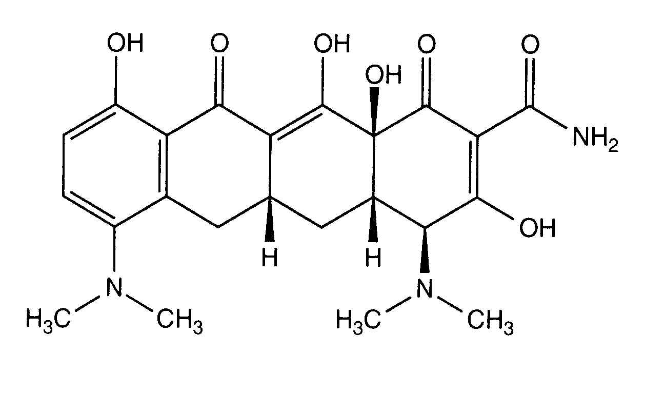
   Chemische Struktur  

Handelsmarke   Handelsmarke     

Handelsnamen sind als beispielhaft anzusehen. Sonstige Bestandteile können je nach Hersteller oder Land verschieden sein

Minocin Vereinigte Staaten von Amerika
Applikationsart   Applikationsart :Minocycline hydrochloride     
Verabreichung
Intravenöse Perfusion
Intramuskulär

  Mentions Légales