Last update :
31/03/2026
Antibiotic   Minocycline hydrochloride  
injection
Oral solution
Stability in solutions Stability of mixtures Factors which affect stability Compatibility Route of administration References pdf
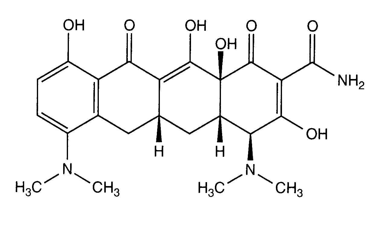
   Chemical structure  

Tradename   Tradename     

Trade names are indicative and excipients composition can be different depending on the country and manufacturers

Minocin United States of America
Route of administration   Route of administration :Minocycline hydrochloride     
Route
Intravenous infusion
Intramuscular

  Mentions Légales