Zadnji put ažurirano :
31/03/2026
antibiotik   Minocycline hydrochloride  
injekcija
oralna otopina
Stabilizacija rješenja Stabilnost mješavine Stabilizacijski faktor Kompatibilnosti način davanja lijeka Bibliografija pdf
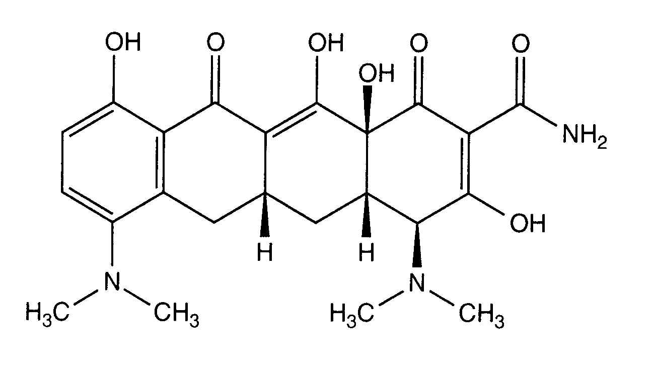
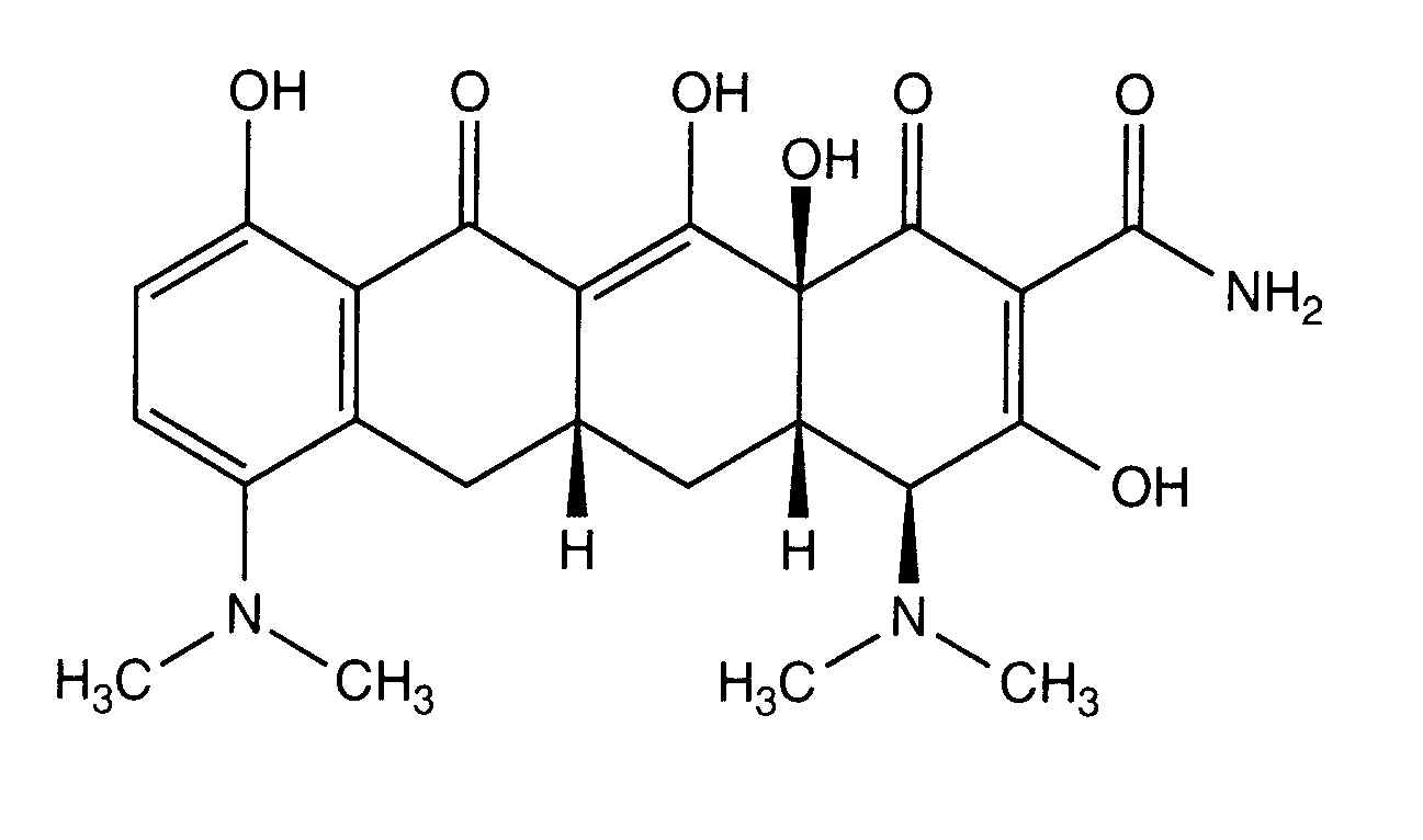
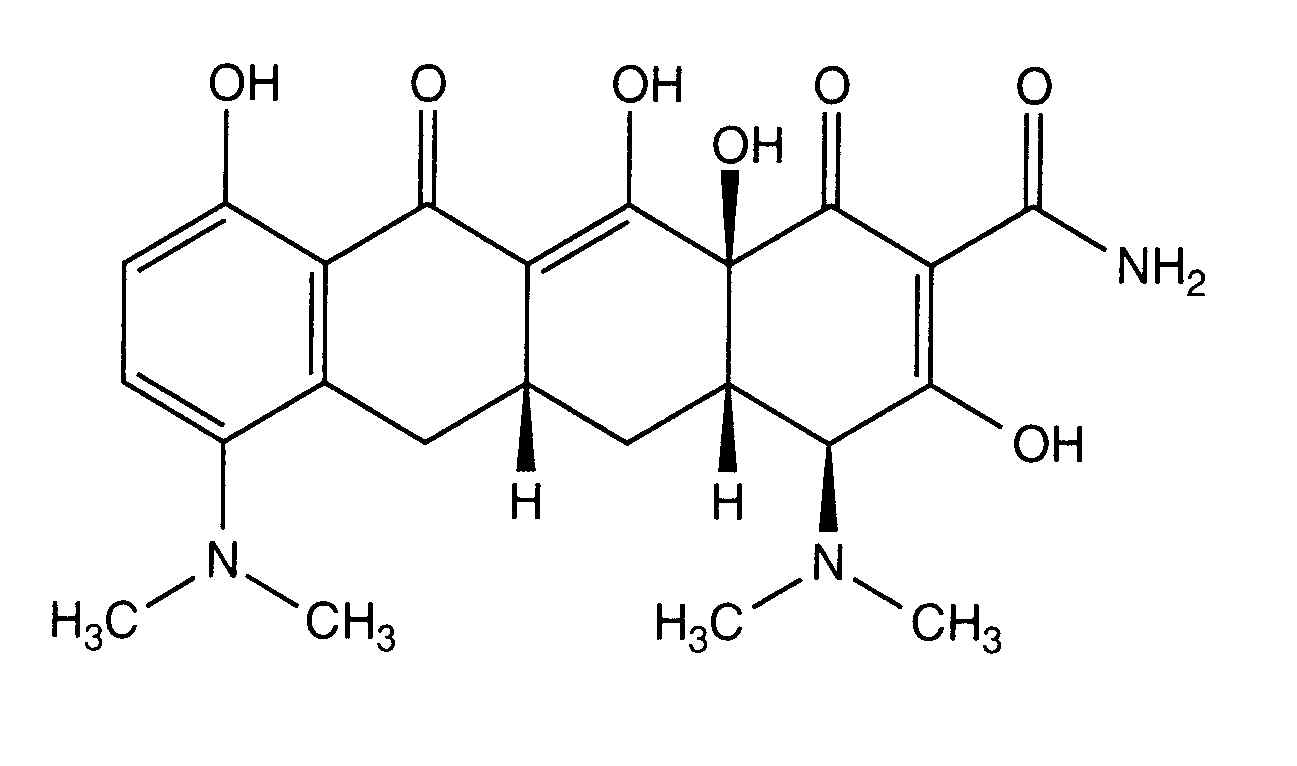
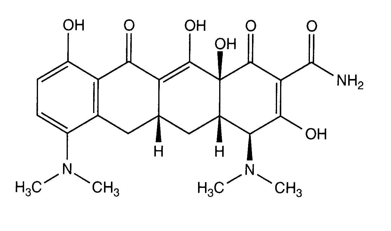
   Kemijska struktura  

Nekomercijalni   Nekomercijalni     

Zaštićeni nazivi su indikativni i sastav ekscipijensa može biti različit ovisno o državi i laboratorijima

Minocin S A D
način davanja lijeka   način davanja lijeka :Minocycline hydrochloride     
Voie
intravenozna infuzija
intramuskularni

  Mentions Légales