最新更新 :
31/03/2026
抗菌薬   Minocycline hydrochloride  
注射薬
経口液
溶媒内の安定性 混合時の安定性 安定性に影響する因子 互換性 投与経路 引用文献 PDF
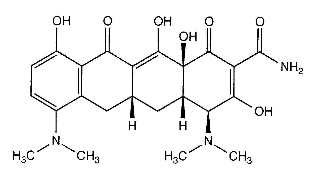
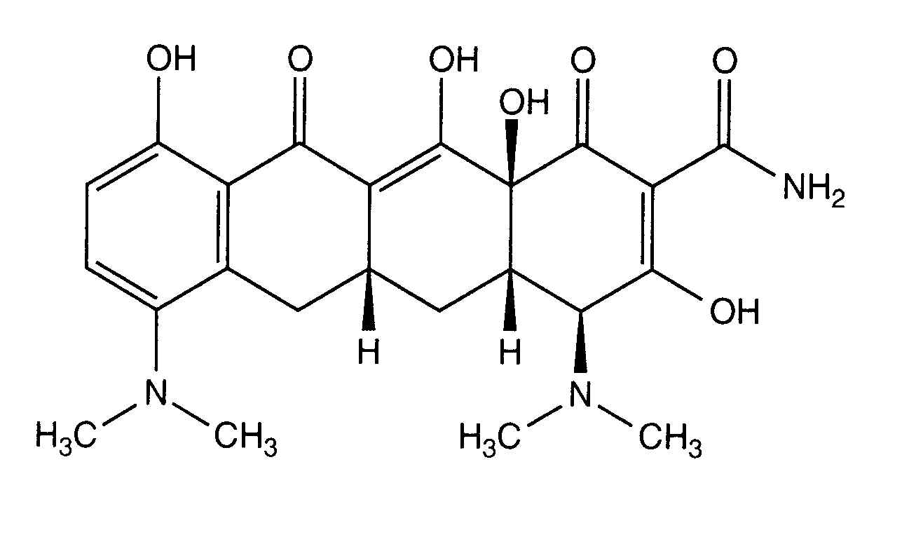
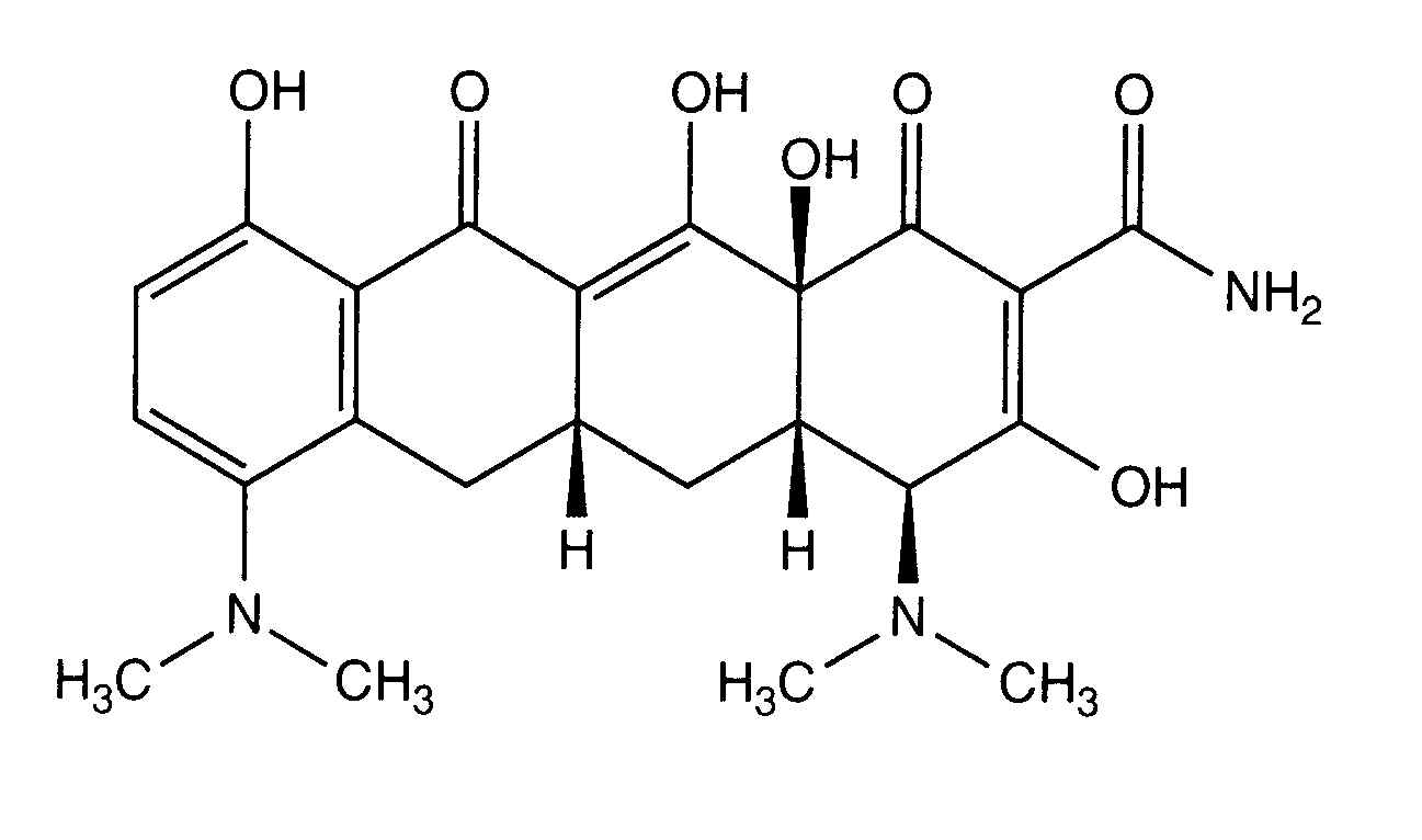
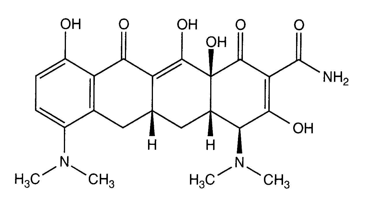
   化学構造  

商品名   商品名     

商品名、賦形剤は国、製薬会社ごとに異なることがあります

Minocin アメリカ
投与経路   投与経路 :Minocycline hydrochloride     
経路
点滴静注
筋肉注射

  Mentions Légales