viimane versioon :
31/03/2026
antibiootikum   Minocycline hydrochloride  
Süsteravim
suukaudne lahus
Stabiilsus lahustes Stabiilsust mõjutavad tegurid stabiilsust mõjutavad faktorid Sobimatus Manustamis viis Viited pdf
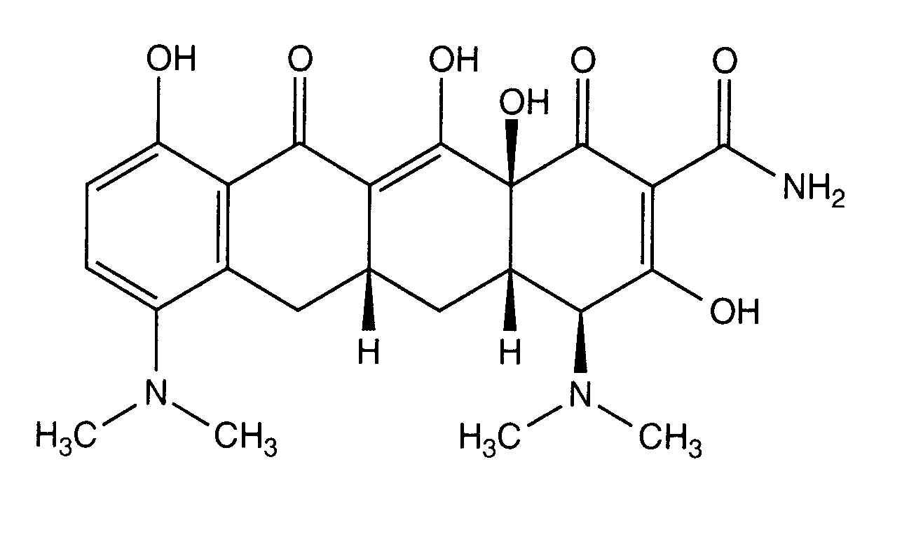
   keemiline struktuur  

Kaubanduslikud nimed erinevates maades   Kaubanduslikud nimed erinevates maades     

Preparaatide nimed on näitlikud ja abianete sisaldus võib erineda sõltuvalt riigist ja laborist

Minocin Ameerika ühendriigid
Manustamis viis   Manustamis viis :Minocycline hydrochloride     
Voie
intravenoosne infusioon
intramuskulaarne

  Mentions Légales