Последнее обновление :
31/03/2026
Антибиотик   Minocycline hydrochloride  
Инъекция
Раствор для перорального приёма
Стабильность растворов Стабильность смесей Факторы, которые влияют на стабильность Совместимость Способы введения Библиография pdf
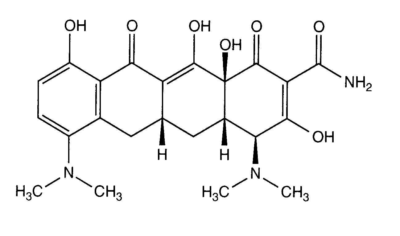
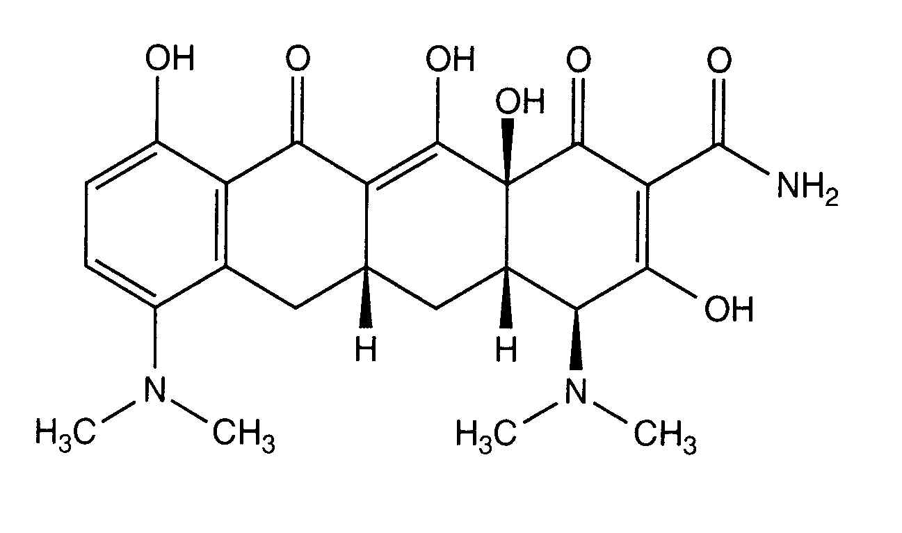
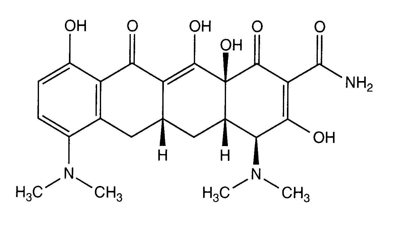
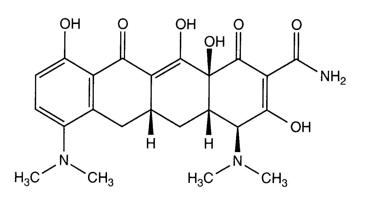
   Химическая структура  

Товарное название   Товарное название     

Trade names are indicative and excipients composition can be different depending on the country and manufacturers

Minocin Соединённые Штаты Америки
Способы введения   Способы введения :Minocycline hydrochloride     
Voie
Интравенная, внутривенная инфузия
Внутримышечный

  Mentions Légales