Son güncelleme :
31/03/2026
Antibiyotik   Minocycline hydrochloride  
Enjeksiyon
Oral solüsyon / oral çözelti
Çözeltilerin stabilitesi Karışımlardaki stabilitesi Stabiliteyi etkileyen faktörler Uyumluluk Uygulama yöntemi Kaynaklar pdf
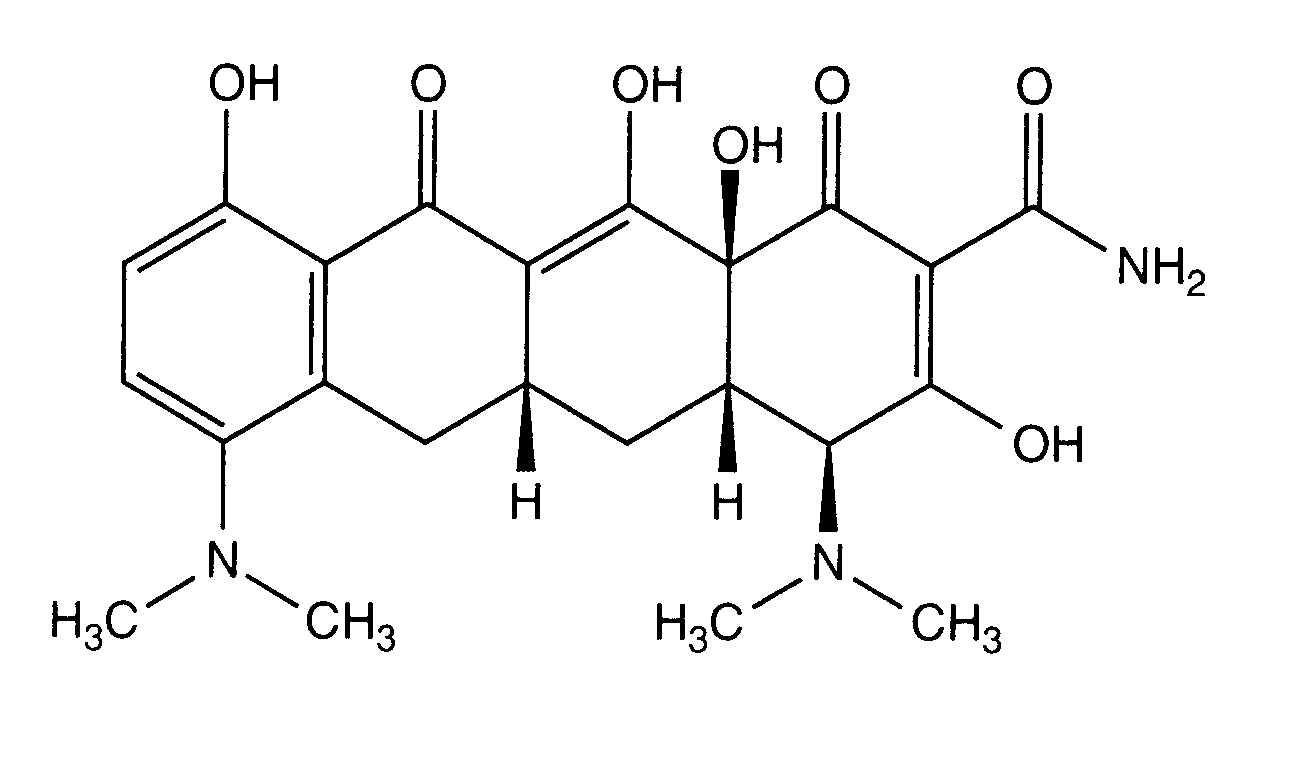
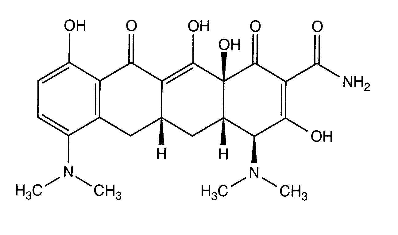
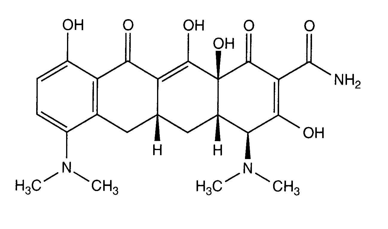
   Kimyasal yapı   

Ticari isim   Ticari isim     

Trade names are indicative and excipients composition can be different depending on the country and manufacturers

Minocin Amerika Birleşik Devletleri
Uygulama yöntemi   Uygulama yöntemi :Minocycline hydrochloride     
Voie
İntravenöz infüzyon
İntramüsküler

  Mentions Légales