آخر تحديث :
31/03/2026
مضاد حيوي   Minocycline hydrochloride  
حقن
عن طريق الفم
الاستقرار في حلول استقرار مخاليط العوامل التي تؤثر على الاستقرار التوافق طريقة التعاطي مراجع pdf
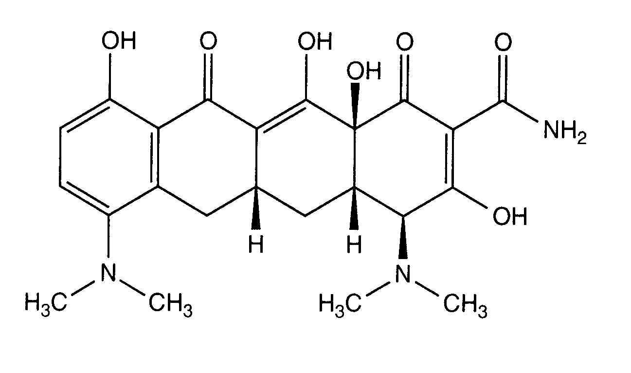
   التركيب الكيميائي  

حجز الاسم التجاري   حجز الاسم التجاري     

تحذير الأسماء التجاريه المختلفه قد تحتوي علي محتوي إضافات مختلفة حسب الدوله و المعمل

Minocin الولايات المتحدة
طريقة التعاطي   طريقة التعاطي :Minocycline hydrochloride     
Voie
الحقن الوريدي   المستمر
الحقن في  العضلة

  Mentions Légales