Ultimele actualizari :
31/03/2026
Antibiotic   Minocycline hydrochloride  
Injectabil
Soluţie orală
Stabilitatea in solutie Stabilitatea in amestec Factorii care influenteaza stabilitatea Compatibilitate Microunde Bibliografie pdf
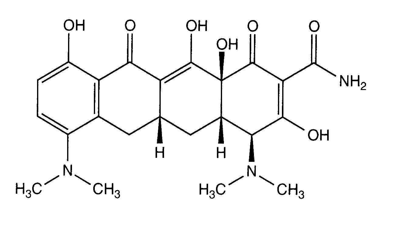
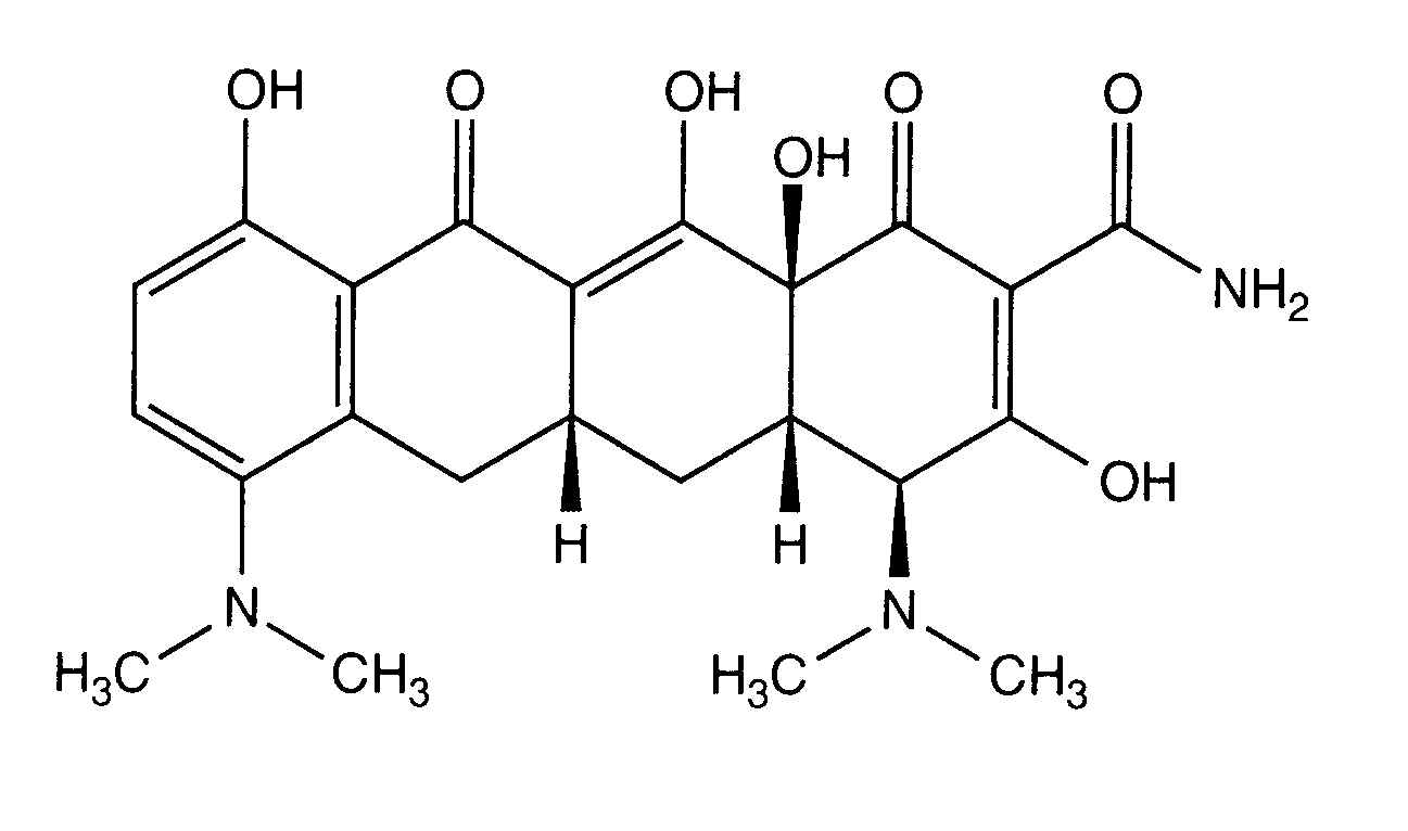
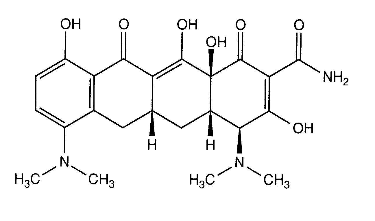
   Formula chimica  

Denumirea comerciala   Denumirea comerciala     

Trade names are indicative and excipients composition can be different depending on the country and manufacturers

Minocin SUA
Microunde   Microunde :Minocycline hydrochloride     
Voie
Perfuzie intravenoasa
Intra-muscular

  Mentions Légales