Son güncelleme :
27/01/2026
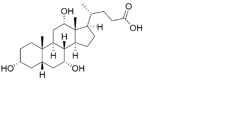
Çeşitli   Cholic acid  
Kapsül
Farmasötik preparatlar Kararlılığı Karışımlardaki stabilitesi Stabiliteyi etkileyen faktörler Uyumluluk Kaynaklar pdf
   Kimyasal yapı   

Kapsül
Karışımlardaki stabilitesi   Kapsül   Karışımlardaki stabilitesi : Cholic acid     
veri yok

  Mentions Légales