Zadnji put ažurirano :
27/01/2026
Infostab
Liste
Liste sazetaka
Potražite kompatibilnosti
Tablica kompatibilnosti Y-mjesta
Bibliografija
istraživačkih timova
valistab
Plakat
Linkovi
sponzori
Autor
Priručnik za korisnike
Bilten
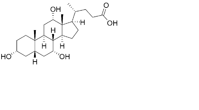
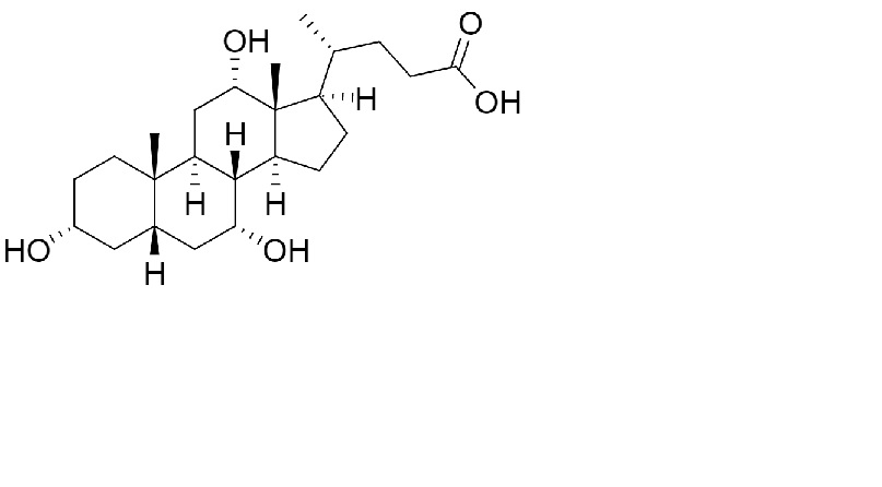
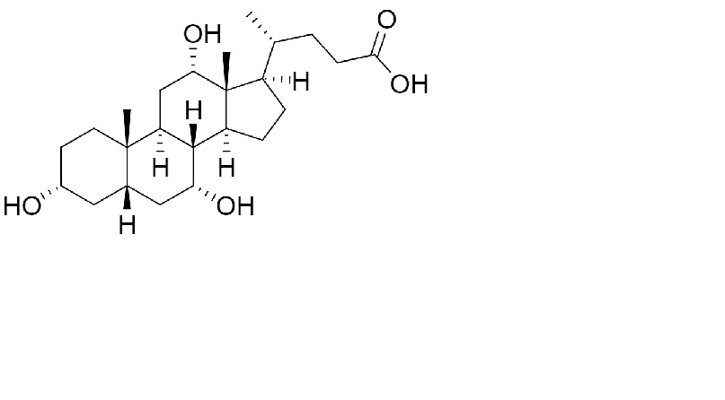
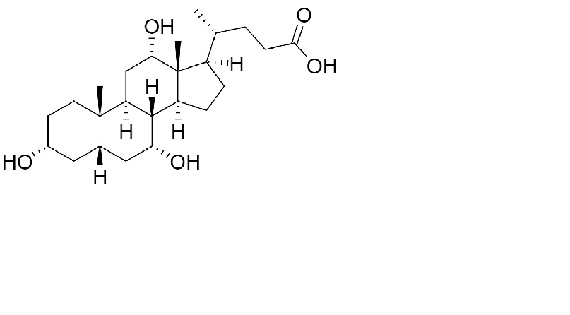
Cholic acid
Kemijska struktura
Stabilnost mješavine : Cholic acid
bez podataka
Mentions Légales