Seneste opdatering :
27/01/2026
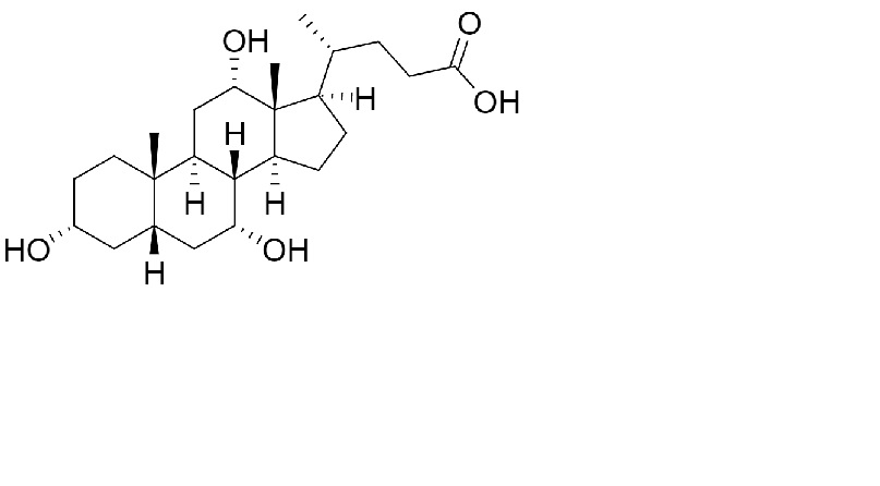
Diverse   Cholic acid  
Kapsel
Stabilitet af farmaceutiske tilberedninger Stabilitet i blandinger Faktorer der påvirker stabiliteten Kompatibilitet Bibliografi pdf
   Kemisk struktur  

Kapsel
Stabilitet i blandinger   Kapsel   Stabilitet i blandinger : Cholic acid     
Ingen data

  Mentions Légales