Siste oppdatering :
27/01/2026
Forskjellig   Cholic acid  
Kapsel
Stabilitet av farmasøytiske preparater Stabilitet i blandinger Faktorer som påvirker stabiliteten Kompatibilitet Referanser pdf
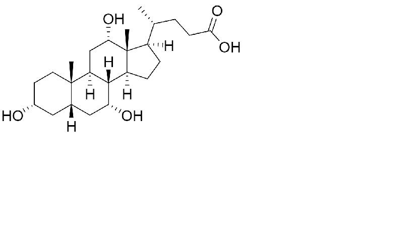
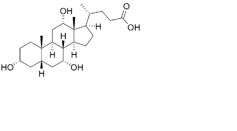
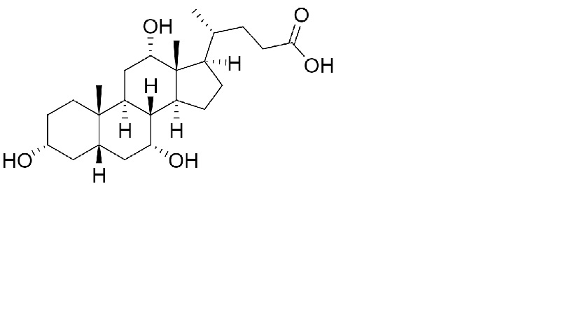
   Kjemisk struktur  

Kapsel
Stabilitet i blandinger   Kapsel   Stabilitet i blandinger : Cholic acid     
Ingen opplysninger

  Mentions Légales