Τελευταία ενημέρωση :
27/01/2026
Λοιπά   Cholic acid  
Κάψουλα
Σταθερότητα και συμβατότητα των φαρμάκων Σταθερότητα σε μίγματα Παράγοντας που επηρεάζει τη σταθερότητα Συμβατότητες Βιβλιογραφία pdf
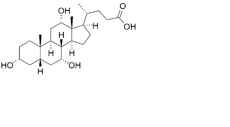
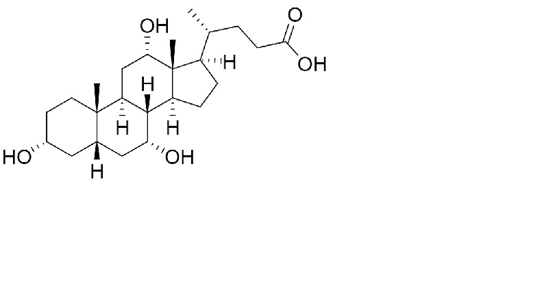
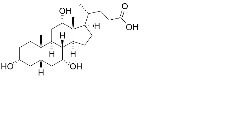
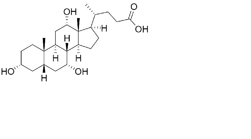
   χημική δομή  

Κάψουλα
Σταθερότητα σε μίγματα   Κάψουλα   Σταθερότητα σε μίγματα : Cholic acid     
Δεν υπάρχουν πληροφορίες

  Mentions Légales